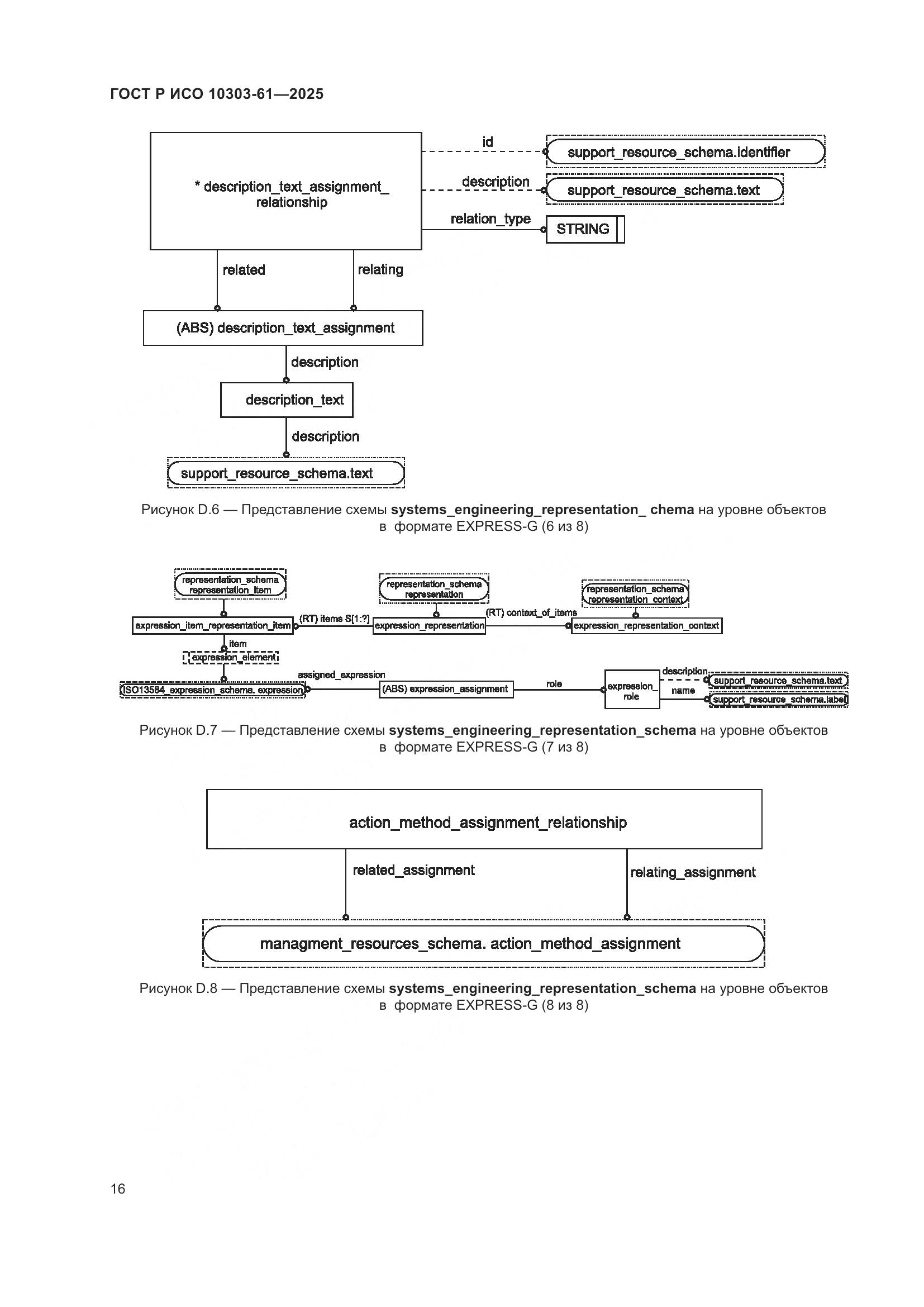
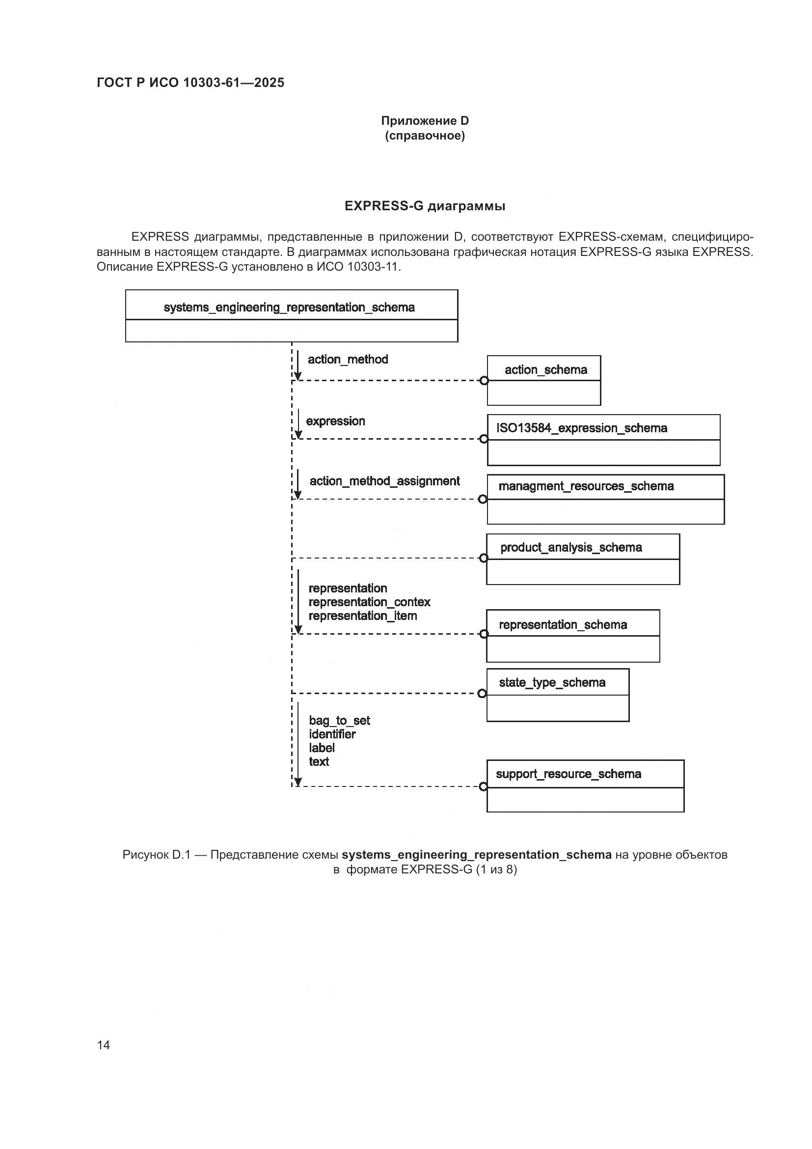
ГОСТ Р ИСО 10303-61-2025 Системы автоматизации производства и их интеграция. Представление данных об изделии и обмен этими данными. Часть 61. Интегрированный обобщенный ресурс. Представление системотехнических данных

Категории ГОСТ Р ИСО 10303-61-2025 по ОКС:
Статус документа:
принят, введён в действие 01.01.2026
Название на английском языке:
Industrial automation systems and integration. Product data representation and exchange. Part 61. Integrated generic resource. Systems engineering representation
Дата актуализации информации по стандарту:
16.12.2025, в 12:02 (менее 3 месяцев назад)
Вид стандарта:
временно не известен
Дата начала действия ГОСТа:
2026-01-01
Число страниц:
24
Назначение ГОСТ Р ИСО 10303-61-2025:
не указано

Скачать ГОСТ Р ИСО 10303-61-2025 вы можете в следующих версиях:

Тип файла:
Дата добавления:
Загрузок:
Размер:
Тип файла:
PDF с изображениями
Добавлен:
16/12/2025 15:27
Скачиваний:
21
Размер файла:
5.4 Мб
Тип файла:
PDF с изображениями
Добавлен:
16/12/2025 15:27
Скачиваний:
23
Размер файла:
5.4 Мб
  • ГОСТ Р ИСО 10303-61-2025, страница 1 страница 1
  • ГОСТ Р ИСО 10303-61-2025, страница 2 страница 2
  • ГОСТ Р ИСО 10303-61-2025, страница 3 страница 3
  • ГОСТ Р ИСО 10303-61-2025, страница 4 страница 4
  • ГОСТ Р ИСО 10303-61-2025, страница 5 страница 5
  • ГОСТ Р ИСО 10303-61-2025, страница 6 страница 6
  • ГОСТ Р ИСО 10303-61-2025, страница 7 страница 7
  • ГОСТ Р ИСО 10303-61-2025, страница 8 страница 8
  • ГОСТ Р ИСО 10303-61-2025, страница 9 страница 9
  • ГОСТ Р ИСО 10303-61-2025, страница 10 страница 10
  • ГОСТ Р ИСО 10303-61-2025, страница 11 страница 11
  • ГОСТ Р ИСО 10303-61-2025, страница 12 страница 12
  • ГОСТ Р ИСО 10303-61-2025, страница 13 страница 13
  • ГОСТ Р ИСО 10303-61-2025, страница 14 страница 14
  • ГОСТ Р ИСО 10303-61-2025, страница 15 страница 15
  • ГОСТ Р ИСО 10303-61-2025, страница 16 страница 16
  • ГОСТ Р ИСО 10303-61-2025, страница 17 страница 17
  • ГОСТ Р ИСО 10303-61-2025, страница 18 страница 18
  • ГОСТ Р ИСО 10303-61-2025, страница 19 страница 19
  • ГОСТ Р ИСО 10303-61-2025, страница 20 страница 20
  • ГОСТ Р ИСО 10303-61-2025, страница 21 страница 21
  • ГОСТ Р ИСО 10303-61-2025, страница 22 страница 22
  • ГОСТ Р ИСО 10303-61-2025, страница 23 страница 23
  • ГОСТ Р ИСО 10303-61-2025, страница 24 страница 24