ГОСТ 1066-2015
ГОСТ 1066-2015 Проволока латунная. Технические условия
Категории ГОСТ 1066-2015 по ОКС:- Статус документа:
- действует, введён в действие 01.04.2016
- Название на английском языке:
- Brass wire. Specifications
- Дата актуализации информации по стандарту:
- 23.10.2025, в 10:19 (менее месяца назад)
- Вид стандарта:
- Стандарты на продукцию (услуги)
- Дата начала действия ГОСТа:
- 2016-04-01
- Дата последнего издания документа:
- 2015-12-28
Коды документа ГОСТ 1066-2015:
- Код ОКП:
- 184590
- Число страниц:
- 22
- Назначение ГОСТ 1066-2015:
- Настоящий стандарт распространяется на тянутую холоднодеформированную проволоку общего назначения круглого, квадратного и шестигранного сечений из медно-цинковых сплавов (латуней). Стандарт устанавливает сортамент, технические требования, правила приемки, методы контроля и испытаний, упаковку, маркировку, транспортирование и хранение проволоки
- Документ разработан орг-ей:
- Федеральное агентство по техническому регулированию и метрологии (Росстандарт)
- Документ принят орг-ей:
- Межгосударственный Совет по стандартизации метрологии и сертификации, протокол №77-П
- Ключевые слова документа:
- латунная проволока, марки, механические свойства, номинальный диаметр, перегиб, химический состав
Нормативные ссылки, связанные с ГОСТ 1066-2015:
- Стандарт ссылается на ГОСТы:
- ГОСТ 3560-73, ГОСТ 1652.3-77, ГОСТ 1652.4-77, ГОСТ 1652.5-77, ГОСТ 1652.6-77, ГОСТ 1652.7-77, ГОСТ 1652.8-77, ГОСТ 1652.9-77, ГОСТ 24047-80, ГОСТ 24231-80, ГОСТ 3282-74, ГОСТ 1652.2-77, ГОСТ 9716.1-79, ГОСТ 9716.2-79, ГОСТ 9716.3-79, ГОСТ 2060-2006, ГОСТ 4381-87, ГОСТ 6507-90, ГОСТ 9569-2006, ГОСТ 21140-88, ГОСТ 25086-2011, ГОСТ 8828-89, ГОСТ 14192-96, ГОСТ 15846-2002, ГОСТ 20435-75, ГОСТ 21650-76, ГОСТ 22225-76, ГОСТ 24597-81, ГОСТ 26663-85, ГОСТ 2991-85, ГОСТ 8273-75, ГОСТ 9557-87, ГОСТ 9078-84, ГОСТ 9347-74, ГОСТ 10446-80, ГОСТ 15527-2004, ГОСТ 1579-93, ГОСТ 1652.10-77, ГОСТ 1652.12-77, ГОСТ 1652.13-77, ГОСТ 1652.1-77
- Ссылки на прочие:
- СТ СЭВ 543-77
Скачать ГОСТ 1066-2015 вы можете в следующих версиях:
В данный момент версий документа для скачивания не добавлено.
Мы стараемся пополнять базу документов еженедельно и из разных источников, в обозримом будущем версии для этого ГОСТа появятся.
Вы можете просмотреть online текст стандарта ГОСТ 1066-2015
Просмотреть текст ГОСТ 1066-2015Поправки и изменения к ГОСТ 1066-2015:
-
Наименование, вид:Датарегистрации:начала действия:Ссылка:
-
Поправка к ГОСТ 1066-2015
Тип изменения: Поправка
Номер изменения:
Регистрационный номер: -
2023-07-132023-07-13
Текст стандарта
-
страница 1
-
страница 2
-
страница 3
-
страница 4
-
страница 5
-
страница 6
-
страница 7
-
страница 8
-
страница 9
-
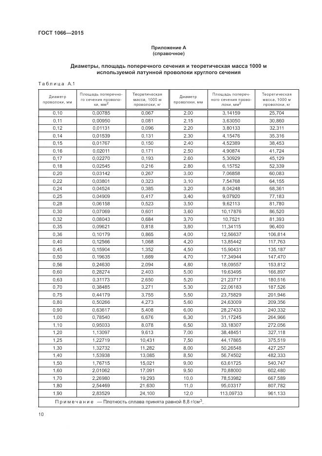
страница 10
-
страница 11
-
страница 12
-
страница 13
-
страница 14
-
страница 15
-
страница 16
-
страница 17
-
страница 18
-
страница 19
-
страница 20
-
страница 21