ГОСТ ISO 11140-1-2011 Стерилизация медицинской продукции. Химические индикаторы. Часть 1. Общие требования

Категории ГОСТ ISO 11140-1-2011 по ОКС:
Статус документа:
действует, введён в действие 01.01.2013
Название на английском языке:
Sterilization of health care products. Chemical indicators. Part 1. General requirements
Дата актуализации информации по стандарту:
21.10.2025, в 10:13 (менее месяца назад)
Вид стандарта:
Основополагающие стандарты
Дата начала действия ГОСТа:
2013-01-01
Дата последнего издания документа:
2014-07-11
Коды документа ГОСТ ISO 11140-1-2011:
Код КГС:
Р26
Число страниц:
32
Назначение ГОСТ ISO 11140-1-2011:
Настоящий стандарт устанавливает общие требования и методы испытаний индикаторов, которые путем физического и/или химического изменения вещества показывают наличие стерилизационной обработки. Они используются для контроля наличия или достижения одной или более переменных, требуемых для стерилизации. Их действие не связано с наличием или отсутствием живых микроорганизмов
Документ разработан орг-ей:
Федеральное агентство по техническому регулированию и метрологии Российской Федерации
Документ принят орг-ей:
Межгосударственный Совет по стандартизации метрологии и сертификации, протокол №40-2011
Ключевые слова документа:
индикаторы, медицинская продукция, стерилизация
Нормативные ссылки, связанные с ГОСТ ISO 11140-1-2011:

Скачать ГОСТ ISO 11140-1-2011 вы можете в следующих версиях:

В данный момент версий документа для скачивания не добавлено.

Мы стараемся пополнять базу документов еженедельно и из разных источников, в обозримом будущем версии для этого ГОСТа появятся.

Вы можете просмотреть online текст стандарта ГОСТ ISO 11140-1-2011

Просмотреть текст ГОСТ ISO 11140-1-2011

Текст стандарта

  • ГОСТ ISO 11140-1-2011, страница 1 страница 1
  • ГОСТ ISO 11140-1-2011, страница 2 страница 2
  • ГОСТ ISO 11140-1-2011, страница 3 страница 3
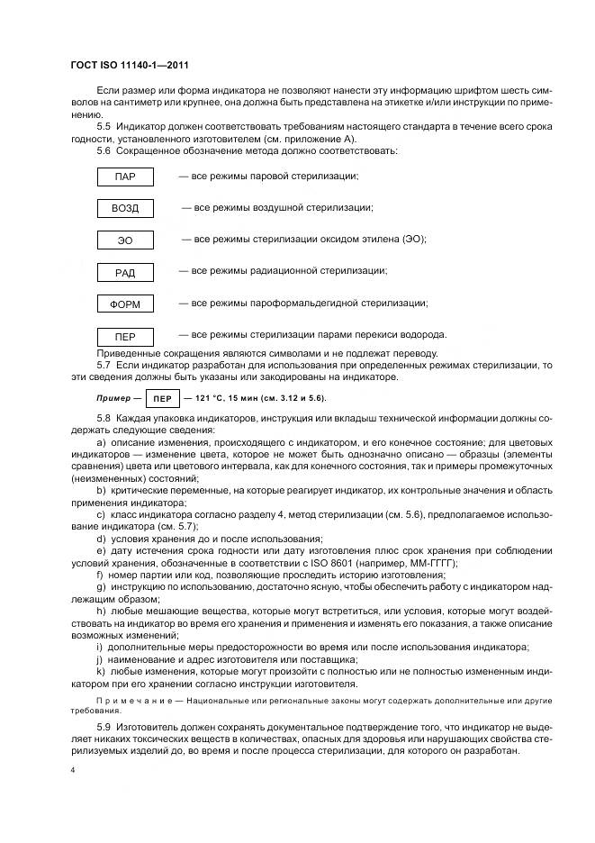
  • ГОСТ ISO 11140-1-2011, страница 4 страница 4
  • ГОСТ ISO 11140-1-2011, страница 5 страница 5
  • ГОСТ ISO 11140-1-2011, страница 6 страница 6
  • ГОСТ ISO 11140-1-2011, страница 7 страница 7
  • ГОСТ ISO 11140-1-2011, страница 8 страница 8
  • ГОСТ ISO 11140-1-2011, страница 9 страница 9
  • ГОСТ ISO 11140-1-2011, страница 10 страница 10
  • ГОСТ ISO 11140-1-2011, страница 11 страница 11
  • ГОСТ ISO 11140-1-2011, страница 12 страница 12
  • ГОСТ ISO 11140-1-2011, страница 13 страница 13
  • ГОСТ ISO 11140-1-2011, страница 14 страница 14
  • ГОСТ ISO 11140-1-2011, страница 15 страница 15
  • ГОСТ ISO 11140-1-2011, страница 16 страница 16
  • ГОСТ ISO 11140-1-2011, страница 17 страница 17
  • ГОСТ ISO 11140-1-2011, страница 18 страница 18
  • ГОСТ ISO 11140-1-2011, страница 19 страница 19
  • ГОСТ ISO 11140-1-2011, страница 20 страница 20
  • ГОСТ ISO 11140-1-2011, страница 21 страница 21
  • ГОСТ ISO 11140-1-2011, страница 22 страница 22
  • ГОСТ ISO 11140-1-2011, страница 23 страница 23
  • ГОСТ ISO 11140-1-2011, страница 24 страница 24
  • ГОСТ ISO 11140-1-2011, страница 25 страница 25
  • ГОСТ ISO 11140-1-2011, страница 26 страница 26
  • ГОСТ ISO 11140-1-2011, страница 27 страница 27
  • ГОСТ ISO 11140-1-2011, страница 28 страница 28
  • ГОСТ ISO 11140-1-2011, страница 29 страница 29
  • ГОСТ ISO 11140-1-2011, страница 30 страница 30
  • ГОСТ ISO 11140-1-2011, страница 31 страница 31
  • ГОСТ ISO 11140-1-2011, страница 32 страница 32