ГОСТ 13548-2016
ГОСТ 13548-2016 Трубки тонкостенные из никеля и никелевых сплавов. Технические условия
Категории ГОСТ 13548-2016 по ОКС:- 23. Гидравлика и пневматика
- 23.40. Трубопроводы и их компоненты
- 23.40.15 Трубы из цветных металлов *трубы и трубки специального назначения из цветных металлов см. 77.150
- Статус документа:
- действует, введён в действие 01.04.2017
- Название на английском языке:
- Thin-walled tubes of nickel and nickel alloys. Specifications
- Дата актуализации информации по стандарту:
- 26.10.2025, в 22:58 (менее месяца назад)
- Вид стандарта:
- Стандарты на продукцию (услуги)
- Дата начала действия ГОСТа:
- 2017-04-01
- Дата последнего издания документа:
- 2016-08-15
Коды документа ГОСТ 13548-2016:
- Код КГС:
- В64
- Число страниц:
- 16
- Назначение ГОСТ 13548-2016:
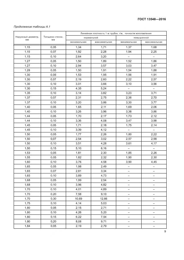
- Настоящий стандарт распространяется на круглые холоднодеформированные тянутые тонкостенные трубки из никеля и никелевых сплавов, предназначенные для электронной техники и других отраслей промышленности. Настоящий стандарт устанавливает сортамент, технические требования, правила приемки, методы контроля и испытаний, правила маркировки, упаковки, транспортирования и хранения трубок
- Документ разработан орг-ей:
- Федеральное агентство по техническому регулированию и метрологии (Росстандарт)
- Документ принят орг-ей:
- Межгосударственный Совет по стандартизации метрологии и сертификации, протокол №85-П
- Ключевые слова документа:
- круглые, немерная длина, нормальная и повышенная точность, овальность, твердое состояние, трубки тонкостенные из никеля и никелевых сплавов, химический состав, холоднодеформированные (тянутые)
Нормативные ссылки, связанные с ГОСТ 13548-2016:
- Стандарт ссылается на ГОСТы:
- ГОСТ 8026-92, ГОСТ 6689.21-92, ГОСТ 6689.22-92, ГОСТ 6689.2-92, ГОСТ 6689.3-92, ГОСТ 6689.4-92, ГОСТ 6689.5-92, ГОСТ 6689.6-92, ГОСТ 6689.7-92, ГОСТ 6689.8-92, ГОСТ 6689.9-92, ГОСТ 3553-87, ГОСТ 6507-90, ГОСТ 6689.20-92, ГОСТ 9569-2006, ГОСТ 12769-85, ГОСТ 18321-73, ГОСТ 18242-72, ГОСТ 26653-85, ГОСТ 6689.23-80, ГОСТ 22597-77, ГОСТ 645-79, ГОСТ 6012-2011, ГОСТ 32597-2013, ГОСТ 1419296, ГОСТ 3560-73, ГОСТ 10459-87, ГОСТ 15846-2002, ГОСТ 24597-81, ГОСТ 26663-85, ГОСТ 2991-85, ГОСТ 8273-75, ГОСТ 8828-89, ГОСТ 19241-80, ГОСТ 22598-93, ГОСТ 24231-80, ГОСТ 3282-74, ГОСТ 9557-87, ГОСТ 6689.10-92, ГОСТ 6689.11-92, ГОСТ 6689.12-92, ГОСТ 6689.13-92, ГОСТ 6689.14-92, ГОСТ 6689.15-92, ГОСТ 6689.16-92, ГОСТ 6689.17-92, ГОСТ 6689.18-92, ГОСТ 6689.1-92, ГОСТ 6689.19-92
- Ссылки на прочие:
- СТ СЭВ 543
Скачать ГОСТ 13548-2016 вы можете в следующих версиях:
В данный момент версий документа для скачивания не добавлено.
Мы стараемся пополнять базу документов еженедельно и из разных источников, в обозримом будущем версии для этого ГОСТа появятся.
Вы можете просмотреть online текст стандарта ГОСТ 13548-2016
Просмотреть текст ГОСТ 13548-2016Текст стандарта
-
страница 1
-
страница 2
-
страница 3
-
страница 4
-
страница 5
-
страница 6
-
страница 7
-
страница 8
-
страница 9
-
страница 10
-
страница 11
-
страница 12
-
страница 13
-
страница 14
-
страница 15
-
страница 16