ГОСТ 13620-2025 Профили прессованные прямоугольные равнополочного зетового сечения из алюминия, алюминиевых и магниевых сплавов. Сортамент

Категории ГОСТ 13620-2025 по ОКС:
Статус документа:
действует, введён в действие 01.10.2025
Название на английском языке:
Extruded rectangular normal Z-section shapes of aluminium, aluminium and magnesium alloys. Assortment
Дата актуализации информации по стандарту:
17.10.2025, в 09:28 (менее месяца назад)
Вид стандарта:
временно не известен
Дата начала действия ГОСТа:
2025-10-01
Дата последнего издания документа:
2025-05-15
Число страниц:
16
Назначение ГОСТ 13620-2025:
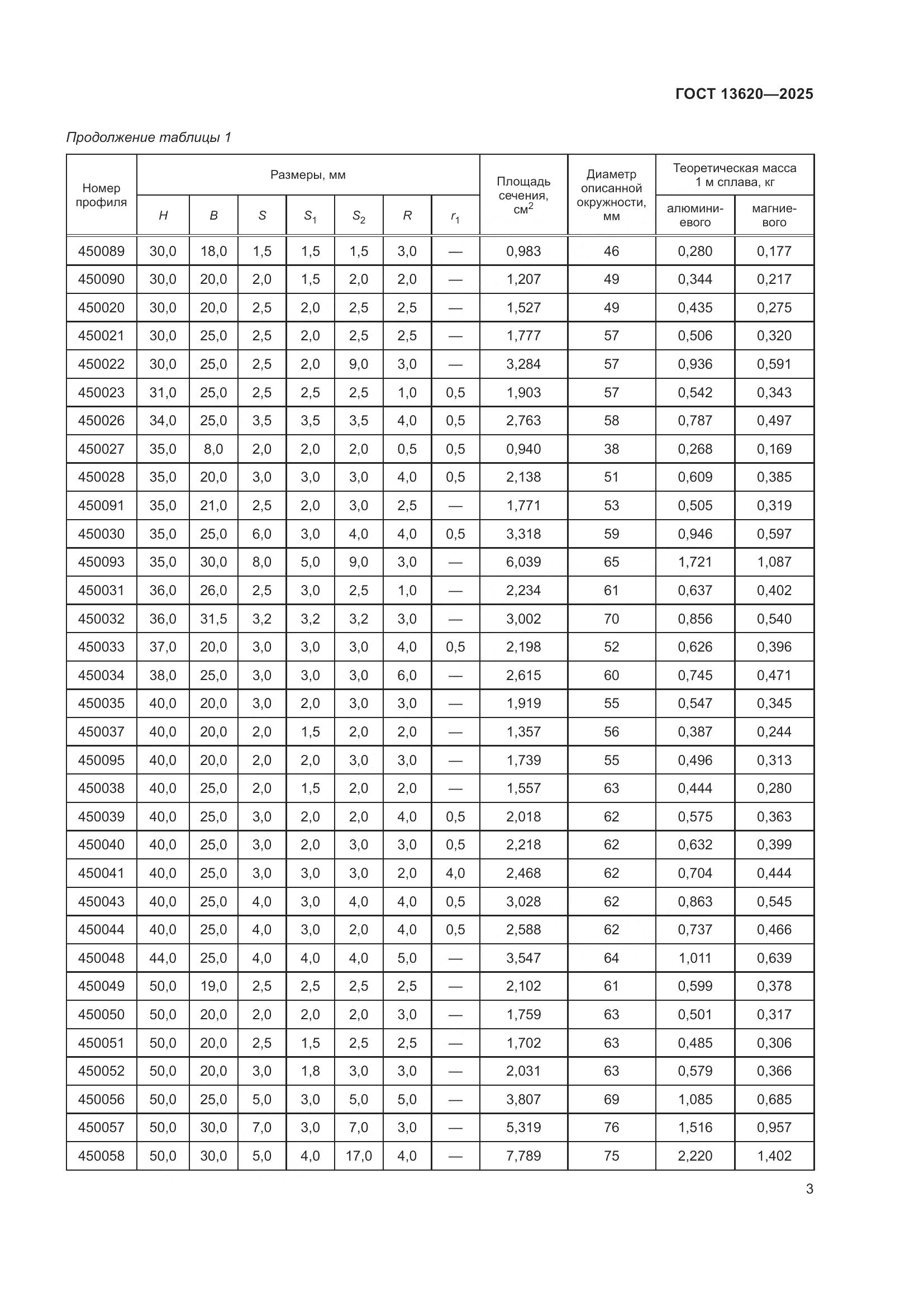
Настоящий стандарт устанавливает сортамент прессованных прямоугольных профилей равнополочного зетового сечения из алюминия, алюминиевых и магниевых сплавов, изготовляемых методом горячего прессования
Документ принят орг-ей:
Межгосударственный Совет по стандартизации метрологии и сертификации, протокол №183-П
Ключевые слова документа:
номер профилей, профили прессованные равнополочные прямоугольные, размеры, сплавы алюминиевые и магниевые, теоретическая масса

Скачать ГОСТ 13620-2025 вы можете в следующих версиях:

В данный момент версий документа для скачивания не добавлено.

Мы стараемся пополнять базу документов еженедельно и из разных источников, в обозримом будущем версии для этого ГОСТа появятся.

Вы можете просмотреть online текст стандарта ГОСТ 13620-2025

Просмотреть текст ГОСТ 13620-2025

Текст стандарта

  • ГОСТ 13620-2025, страница 1 страница 1
  • ГОСТ 13620-2025, страница 2 страница 2
  • ГОСТ 13620-2025, страница 3 страница 3
  • ГОСТ 13620-2025, страница 4 страница 4
  • ГОСТ 13620-2025, страница 5 страница 5
  • ГОСТ 13620-2025, страница 6 страница 6
  • ГОСТ 13620-2025, страница 7 страница 7
  • ГОСТ 13620-2025, страница 8 страница 8
  • ГОСТ 13620-2025, страница 9 страница 9
  • ГОСТ 13620-2025, страница 10 страница 10
  • ГОСТ 13620-2025, страница 11 страница 11
  • ГОСТ 13620-2025, страница 12 страница 12
  • ГОСТ 13620-2025, страница 13 страница 13
  • ГОСТ 13620-2025, страница 14 страница 14
  • ГОСТ 13620-2025, страница 15 страница 15
  • ГОСТ 13620-2025, страница 16 страница 16