ГОСТ 13863-2024 Полотна вязально-прошивные дублированные технического назначения. Технические условия

Категории ГОСТ 13863-2024 по ОКС:
Статус документа:
действует, введён в действие 01.06.2025
Название на английском языке:
Laminated stitch-bonded sheets for technical use. Specifications
Дата актуализации информации по стандарту:
16.10.2025, в 13:46 (несколько дней назад)
Вид стандарта:
временно не известен
Дата начала действия ГОСТа:
2025-06-01
Дата последнего издания документа:
2025-01-09
Число страниц:
12
Назначение ГОСТ 13863-2024:
Настоящий стандарт распространяется на дублированные вязально-прошивные полотна (далее – полотна) технического назначения, предназначенные в качестве высокотемпературной теплоизоляции, наполнителей в композиционных материалах и для других целей
Документ принят орг-ей:
Межгосударственный Совет по стандартизации метрологии и сертификации, протокол №173-П
Ключевые слова документа:
кремнеземная нить, кремнеземная ткань, методы контроля, полотно вязально-прошивное, прошивка полотна

Скачать ГОСТ 13863-2024 вы можете в следующих версиях:

В данный момент версий документа для скачивания не добавлено.

Мы стараемся пополнять базу документов еженедельно и из разных источников, в обозримом будущем версии для этого ГОСТа появятся.

Вы можете просмотреть online текст стандарта ГОСТ 13863-2024

Просмотреть текст ГОСТ 13863-2024

Текст стандарта

  • ГОСТ 13863-2024, страница 1 страница 1
  • ГОСТ 13863-2024, страница 2 страница 2
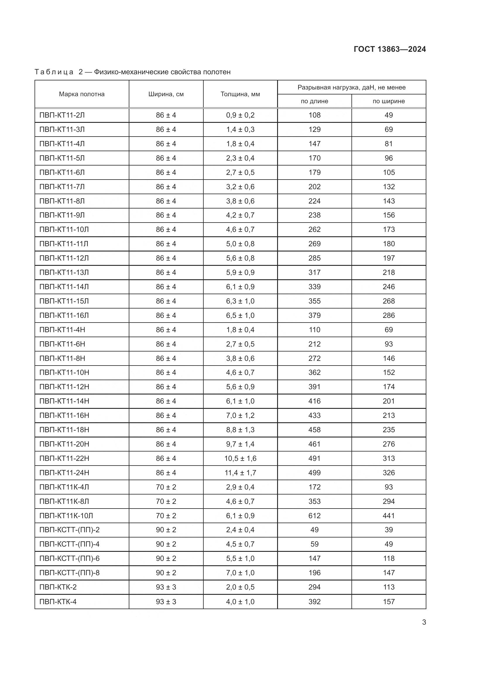
  • ГОСТ 13863-2024, страница 3 страница 3
  • ГОСТ 13863-2024, страница 4 страница 4
  • ГОСТ 13863-2024, страница 5 страница 5
  • ГОСТ 13863-2024, страница 6 страница 6
  • ГОСТ 13863-2024, страница 7 страница 7
  • ГОСТ 13863-2024, страница 8 страница 8
  • ГОСТ 13863-2024, страница 9 страница 9
  • ГОСТ 13863-2024, страница 10 страница 10
  • ГОСТ 13863-2024, страница 11 страница 11
  • ГОСТ 13863-2024, страница 12 страница 12