ГОСТ Р ИСО 16000-14-2013 Воздух замкнутых помещений. Часть 14. Определение общего содержания полихлорированных диоксиноподобных бифенилов (ПХБ) и полихлорированных дибензо-пара-диоксинов/дибензо-фуранов (ПХДД/ПХДФ) (в газообразном состоянии и в виде твердых взвешенных частиц). Экстракция, очистка и анализ методами газовой хроматографии и масс-спектрометрии высокого разрешения

Категории ГОСТ Р ИСО 16000-14-2013 по ОКС:
Статус документа:
принят, введён в действие 01.12.2014
Название на английском языке:
Indoor air. Part 14. Determination of total (gas and particle phase) polychlorinated dioxin-like biphenyls (PCBs) and polychlorinated dibenzo-p-dioxins/dibenzofurans (PCDDs/PCDFs). Extraction, clean-up and analysis by high resolution gas chromatography and mass spectrometry
Дата актуализации информации по стандарту:
18.02.2014, в 22:15 (более года назад)
Вид стандарта:
временно не известен
Дата начала действия ГОСТа:
2014-12-01
Коды документа ГОСТ Р ИСО 16000-14-2013:
Код КГС:
Т58
Число страниц:
не известно
Назначение ГОСТ Р ИСО 16000-14-2013:
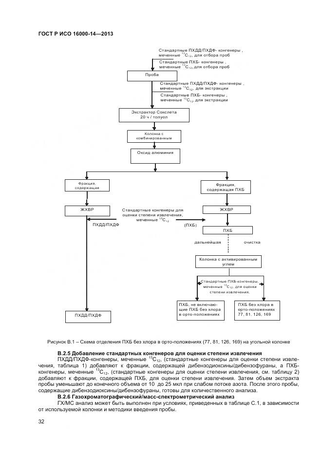
Настоящий стандарт устанавливает требования к экстракции, очистке и методикам анализа для определения полихлорированных бифенилов (ПХБ), полихлорированных дибензо-пара-диоксинов (ПХДД) и полихлорированных дибензофуранов (ПХДФ), улавливаемых из воздуха замкнутых помещений на аэрозольные фильтры на основе пенополиуретана (ППУ). Метод основан на специфическом анализе с применением газовой хроматографии с высоким разрешением в сочетании с масс-спектрометрией высокого разрешения (ГХВР/МСВР).
Ключевые слова документа:
анализ, воздух, высокоэффективная газовая хроматография, масс-спектрометрия высокого разрешения, отбор проб, очистка, пары, полихлорированные дибензо-пара-диоксины, полихлорированные дибензо-фураны, полихлорированные диоксиноподобные бифенилы, помещения замкнутые, сорбент, твердые взвешенные частицы, фильтр, экстракция
Нормативные ссылки, связанные с ГОСТ Р ИСО 16000-14-2013:

Скачать ГОСТ Р ИСО 16000-14-2013 вы можете в следующих версиях:

Дата добавления:
Тип файла:
Загрузок:
Размер:
23/01/2016 18:33
PDF с изображениями
0
2.66 Мб

Текст стандарта

  • ГОСТ Р ИСО 16000-14-2013, страница 1 страница 1
  • ГОСТ Р ИСО 16000-14-2013, страница 2 страница 2
  • ГОСТ Р ИСО 16000-14-2013, страница 3 страница 3
  • ГОСТ Р ИСО 16000-14-2013, страница 4 страница 4
  • ГОСТ Р ИСО 16000-14-2013, страница 5 страница 5
  • ГОСТ Р ИСО 16000-14-2013, страница 6 страница 6
  • ГОСТ Р ИСО 16000-14-2013, страница 7 страница 7
  • ГОСТ Р ИСО 16000-14-2013, страница 8 страница 8
  • ГОСТ Р ИСО 16000-14-2013, страница 9 страница 9
  • ГОСТ Р ИСО 16000-14-2013, страница 10 страница 10
  • ГОСТ Р ИСО 16000-14-2013, страница 11 страница 11
  • ГОСТ Р ИСО 16000-14-2013, страница 12 страница 12
  • ГОСТ Р ИСО 16000-14-2013, страница 13 страница 13
  • ГОСТ Р ИСО 16000-14-2013, страница 14 страница 14
  • ГОСТ Р ИСО 16000-14-2013, страница 15 страница 15
  • ГОСТ Р ИСО 16000-14-2013, страница 16 страница 16
  • ГОСТ Р ИСО 16000-14-2013, страница 17 страница 17
  • ГОСТ Р ИСО 16000-14-2013, страница 18 страница 18
  • ГОСТ Р ИСО 16000-14-2013, страница 19 страница 19
  • ГОСТ Р ИСО 16000-14-2013, страница 20 страница 20
  • ГОСТ Р ИСО 16000-14-2013, страница 21 страница 21
  • ГОСТ Р ИСО 16000-14-2013, страница 22 страница 22
  • ГОСТ Р ИСО 16000-14-2013, страница 23 страница 23
  • ГОСТ Р ИСО 16000-14-2013, страница 24 страница 24
  • ГОСТ Р ИСО 16000-14-2013, страница 25 страница 25
  • ГОСТ Р ИСО 16000-14-2013, страница 26 страница 26
  • ГОСТ Р ИСО 16000-14-2013, страница 27 страница 27
  • ГОСТ Р ИСО 16000-14-2013, страница 28 страница 28
  • ГОСТ Р ИСО 16000-14-2013, страница 29 страница 29
  • ГОСТ Р ИСО 16000-14-2013, страница 30 страница 30
  • ГОСТ Р ИСО 16000-14-2013, страница 31 страница 31
  • ГОСТ Р ИСО 16000-14-2013, страница 32 страница 32
  • ГОСТ Р ИСО 16000-14-2013, страница 33 страница 33
  • ГОСТ Р ИСО 16000-14-2013, страница 34 страница 34
  • ГОСТ Р ИСО 16000-14-2013, страница 35 страница 35
  • ГОСТ Р ИСО 16000-14-2013, страница 36 страница 36
  • ГОСТ Р ИСО 16000-14-2013, страница 37 страница 37
  • ГОСТ Р ИСО 16000-14-2013, страница 38 страница 38
  • ГОСТ Р ИСО 16000-14-2013, страница 39 страница 39
  • ГОСТ Р ИСО 16000-14-2013, страница 40 страница 40
  • ГОСТ Р ИСО 16000-14-2013, страница 41 страница 41
  • ГОСТ Р ИСО 16000-14-2013, страница 42 страница 42
  • ГОСТ Р ИСО 16000-14-2013, страница 43 страница 43
  • ГОСТ Р ИСО 16000-14-2013, страница 44 страница 44
  • ГОСТ Р ИСО 16000-14-2013, страница 45 страница 45
  • ГОСТ Р ИСО 16000-14-2013, страница 46 страница 46
  • ГОСТ Р ИСО 16000-14-2013, страница 47 страница 47
  • ГОСТ Р ИСО 16000-14-2013, страница 48 страница 48
  • ГОСТ Р ИСО 16000-14-2013, страница 49 страница 49
  • ГОСТ Р ИСО 16000-14-2013, страница 50 страница 50
  • ГОСТ Р ИСО 16000-14-2013, страница 51 страница 51
  • ГОСТ Р ИСО 16000-14-2013, страница 52 страница 52
  • ГОСТ Р ИСО 16000-14-2013, страница 53 страница 53
  • ГОСТ Р ИСО 16000-14-2013, страница 54 страница 54
  • ГОСТ Р ИСО 16000-14-2013, страница 55 страница 55
  • ГОСТ Р ИСО 16000-14-2013, страница 56 страница 56
  • ГОСТ Р ИСО 16000-14-2013, страница 57 страница 57