ГОСТ Р ИСО 17070-2017 Кожа. Химические испытания. Метод определения содержания пентахлорфенола и изомеров тетрахлорфенола, трихлорфенола, дихлорфенола и монохлорфенола

Категории ГОСТ Р ИСО 17070-2017 по ОКС:
Статус документа:
действует, введён в действие 01.06.2018
Название на английском языке:
Leather. Chemical tests. Method for determination of tetrachlorophenol-, trichlorophenol-, dichlorophenol-, monochlorophenol-isomers and pentachlorophenol content
Дата актуализации информации по стандарту:
30.10.2025, в 11:22 (менее месяца назад)
Вид стандарта:
временно не известен
Дата начала действия ГОСТа:
2018-06-01
Число страниц:
12
Назначение ГОСТ Р ИСО 17070-2017:
не указано
Нормативные ссылки, связанные с ГОСТ Р ИСО 17070-2017:

Скачать ГОСТ Р ИСО 17070-2017 вы можете в следующих версиях:

В данный момент версий документа для скачивания не добавлено.

Мы стараемся пополнять базу документов еженедельно и из разных источников, в обозримом будущем версии для этого ГОСТа появятся.

Вы можете просмотреть online текст стандарта ГОСТ Р ИСО 17070-2017

Просмотреть текст ГОСТ Р ИСО 17070-2017

Текст стандарта

  • ГОСТ Р ИСО 17070-2017, страница 1 страница 1
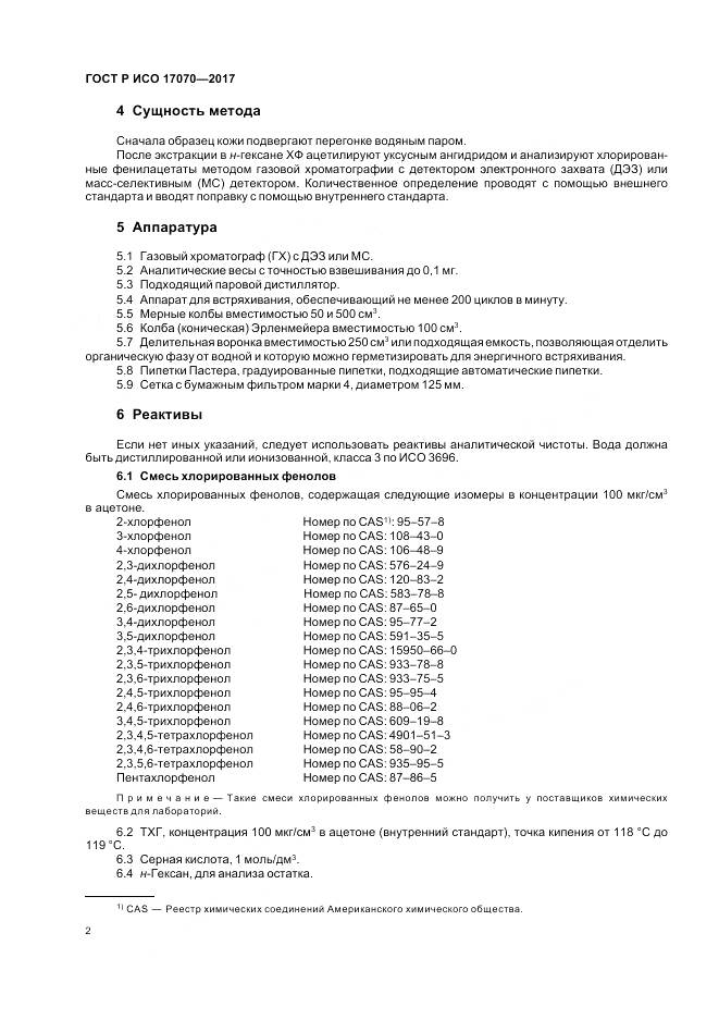
  • ГОСТ Р ИСО 17070-2017, страница 2 страница 2
  • ГОСТ Р ИСО 17070-2017, страница 3 страница 3
  • ГОСТ Р ИСО 17070-2017, страница 4 страница 4
  • ГОСТ Р ИСО 17070-2017, страница 5 страница 5
  • ГОСТ Р ИСО 17070-2017, страница 6 страница 6
  • ГОСТ Р ИСО 17070-2017, страница 7 страница 7
  • ГОСТ Р ИСО 17070-2017, страница 8 страница 8
  • ГОСТ Р ИСО 17070-2017, страница 9 страница 9
  • ГОСТ Р ИСО 17070-2017, страница 10 страница 10
  • ГОСТ Р ИСО 17070-2017, страница 11 страница 11
  • ГОСТ Р ИСО 17070-2017, страница 12 страница 12