ГОСТ Р ИСО 20743-2012 Материалы текстильные. Определение антибактериальной активности изделий с антибактериальной обработкой

Категории ГОСТ Р ИСО 20743-2012 по ОКС:
Статус документа:
действует, введён в действие 01.01.2014
Название на английском языке:
Textiles. Determination of antibacterial activity of antibacterial finished products
Дата актуализации информации по стандарту:
20.10.2025, в 13:39 (менее 3 месяцев назад)
Вид стандарта:
временно не известен
Дата начала действия ГОСТа:
2014-01-01
Коды документа ГОСТ Р ИСО 20743-2012:
Код КГС:
М09
Число страниц:
28
Назначение ГОСТ Р ИСО 20743-2012:
Настоящий стандарт устанавливает количественные методы испытаний по определению антибактериальной активности текстильных изделий, в том числе нетканых полотен, прошедших антибактериальную обработку. Настоящий стандарт применим ко всей текстильной продукции, включая одежду, материалы для набивки, нити и материалы для одежды, товары для дома и другие товары с любым используемым антибактериальным агентом (органическим, неорганическим, натуральным или искусственным), нанесенным любым методом (либо присутствующим по своей природе, либо после окончательной обработки, либо заражением). С учетом назначения применения, а также окружающей среды, в которой будет использоваться текстильное изделие, исследователь выбирает оптимальный метод испытаний из следующих трех методов определения антибактериальной активности: а) метод абсорбции (поглощения) (оценочный метод, в котором бактериальную суспензию для испытаний вносят непосредственно на образцы); b) метод переноса (оценочный метод, в котором используемые бактерии вносят в чашку Петри с агаровой средой, а затем переносят на образцы); с) метод отпечатков [оценочный метод, в котором бактерии, используемые в испытании, помещают на фильтре и затем переносят (отпечатывают) на образцы]. Чашечный метод подсчета числа колоний и определения интенсивности АТФ (аденозин три-фосфат) люминесценции бактерий также являются специфичными для подсчета численности бактерий
Документ разработан орг-ей:
Управление технического регулирования и стандартизации Федеральное агентство по техническому регулированию и метрологии
Ключевые слова документа:
антибактериальная обработка, изделия текстильные, метод, образцы, протокол испытаний
Нормативные ссылки, связанные с ГОСТ Р ИСО 20743-2012:

Скачать ГОСТ Р ИСО 20743-2012 вы можете в следующих версиях:

Дата добавления:
Тип файла:
Загрузок:
Размер:
21/11/2025 10:16
PDF с изображениями
0
2.39 Мб

Текст стандарта

  • ГОСТ Р ИСО 20743-2012, страница 1 страница 1
  • ГОСТ Р ИСО 20743-2012, страница 2 страница 2
  • ГОСТ Р ИСО 20743-2012, страница 3 страница 3
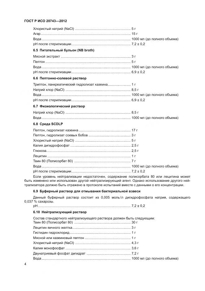
  • ГОСТ Р ИСО 20743-2012, страница 4 страница 4
  • ГОСТ Р ИСО 20743-2012, страница 5 страница 5
  • ГОСТ Р ИСО 20743-2012, страница 6 страница 6
  • ГОСТ Р ИСО 20743-2012, страница 7 страница 7
  • ГОСТ Р ИСО 20743-2012, страница 8 страница 8
  • ГОСТ Р ИСО 20743-2012, страница 9 страница 9
  • ГОСТ Р ИСО 20743-2012, страница 10 страница 10
  • ГОСТ Р ИСО 20743-2012, страница 11 страница 11
  • ГОСТ Р ИСО 20743-2012, страница 12 страница 12
  • ГОСТ Р ИСО 20743-2012, страница 13 страница 13
  • ГОСТ Р ИСО 20743-2012, страница 14 страница 14
  • ГОСТ Р ИСО 20743-2012, страница 15 страница 15
  • ГОСТ Р ИСО 20743-2012, страница 16 страница 16
  • ГОСТ Р ИСО 20743-2012, страница 17 страница 17
  • ГОСТ Р ИСО 20743-2012, страница 18 страница 18
  • ГОСТ Р ИСО 20743-2012, страница 19 страница 19
  • ГОСТ Р ИСО 20743-2012, страница 20 страница 20
  • ГОСТ Р ИСО 20743-2012, страница 21 страница 21
  • ГОСТ Р ИСО 20743-2012, страница 22 страница 22
  • ГОСТ Р ИСО 20743-2012, страница 23 страница 23
  • ГОСТ Р ИСО 20743-2012, страница 24 страница 24
  • ГОСТ Р ИСО 20743-2012, страница 25 страница 25
  • ГОСТ Р ИСО 20743-2012, страница 26 страница 26
  • ГОСТ Р ИСО 20743-2012, страница 27 страница 27
  • ГОСТ Р ИСО 20743-2012, страница 28 страница 28