ГОСТ Р 27.606-2013 Надежность в технике. Управление надежностью. Техническое обслуживание, ориентированное на безотказность

Категории ГОСТ Р 27.606-2013 по ОКС:
Статус документа:
действует, введён в действие 01.06.2014
Название на английском языке:
Dependability in technics. Dependability management. Reliability centred maintenance
Дата актуализации информации по стандарту:
22.10.2025, в 10:26 (вчера)
Вид стандарта:
временно не известен
Дата начала действия ГОСТа:
2014-06-01
Коды документа ГОСТ Р 27.606-2013:
Код КГС:
Т59
Число страниц:
40
Назначение ГОСТ Р 27.606-2013:
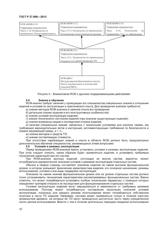
Настоящий стандарт содержит руководство по выработке политики управления надежностью оборудования и систем с использованием методологии надежностно-ориентированного технического обслуживания и ремонта (RCM). Методология RCM применима для изделий типа средств и систем связи, наземных транспортных средств, судов, электростанций, летательных аппаратов и других систем, имеющих в своем составе технические средства. Как правило, технические средства состоят из многих электротехнических, механических, приборных и контрольных систем и подсистем, которые могут быть далее по мере необходимости последовательно разукрупнены на более мелкие составляющие
Ключевые слова документа:
безотказность, надежность, ориентированное на безотказность, техническое обслуживание
Нормативные ссылки, связанные с ГОСТ Р 27.606-2013:

Скачать ГОСТ Р 27.606-2013 вы можете в следующих версиях:

Дата добавления:
Тип файла:
Загрузок:
Размер:
-
23/01/2016 01:46
PDF с изображениями
0
-

Текст стандарта

  • ГОСТ Р 27.606-2013, страница 1 страница 1
  • ГОСТ Р 27.606-2013, страница 2 страница 2
  • ГОСТ Р 27.606-2013, страница 3 страница 3
  • ГОСТ Р 27.606-2013, страница 4 страница 4
  • ГОСТ Р 27.606-2013, страница 5 страница 5
  • ГОСТ Р 27.606-2013, страница 6 страница 6
  • ГОСТ Р 27.606-2013, страница 7 страница 7
  • ГОСТ Р 27.606-2013, страница 8 страница 8
  • ГОСТ Р 27.606-2013, страница 9 страница 9
  • ГОСТ Р 27.606-2013, страница 10 страница 10
  • ГОСТ Р 27.606-2013, страница 11 страница 11
  • ГОСТ Р 27.606-2013, страница 12 страница 12
  • ГОСТ Р 27.606-2013, страница 13 страница 13
  • ГОСТ Р 27.606-2013, страница 14 страница 14
  • ГОСТ Р 27.606-2013, страница 15 страница 15
  • ГОСТ Р 27.606-2013, страница 16 страница 16
  • ГОСТ Р 27.606-2013, страница 17 страница 17
  • ГОСТ Р 27.606-2013, страница 18 страница 18
  • ГОСТ Р 27.606-2013, страница 19 страница 19
  • ГОСТ Р 27.606-2013, страница 20 страница 20
  • ГОСТ Р 27.606-2013, страница 21 страница 21
  • ГОСТ Р 27.606-2013, страница 22 страница 22
  • ГОСТ Р 27.606-2013, страница 23 страница 23
  • ГОСТ Р 27.606-2013, страница 24 страница 24
  • ГОСТ Р 27.606-2013, страница 25 страница 25
  • ГОСТ Р 27.606-2013, страница 26 страница 26
  • ГОСТ Р 27.606-2013, страница 27 страница 27
  • ГОСТ Р 27.606-2013, страница 28 страница 28
  • ГОСТ Р 27.606-2013, страница 29 страница 29
  • ГОСТ Р 27.606-2013, страница 30 страница 30
  • ГОСТ Р 27.606-2013, страница 31 страница 31
  • ГОСТ Р 27.606-2013, страница 32 страница 32
  • ГОСТ Р 27.606-2013, страница 33 страница 33
  • ГОСТ Р 27.606-2013, страница 34 страница 34
  • ГОСТ Р 27.606-2013, страница 35 страница 35
  • ГОСТ Р 27.606-2013, страница 36 страница 36
  • ГОСТ Р 27.606-2013, страница 37 страница 37
  • ГОСТ Р 27.606-2013, страница 38 страница 38
  • ГОСТ Р 27.606-2013, страница 39 страница 39
  • ГОСТ Р 27.606-2013, страница 40 страница 40