ГОСТ 32304-2013 Ламинированные напольные покрытия на основе древесноволокнистых плит сухого способа производства. Технические условия

Категории ГОСТ 32304-2013 по ОКС:
Статус документа:
действует, введён в действие 01.07.2014
Название на английском языке:
Laminate flooring based on dry process wood fibreboards. Specifications
Дата актуализации информации по стандарту:
20.10.2025, в 13:21 (менее 3 месяцев назад)
Вид стандарта:
Стандарты на продукцию (услуги)
Дата начала действия ГОСТа:
2014-07-01
Дата последнего издания документа:
2014-04-01
Коды документа ГОСТ 32304-2013:
Код КГС:
К23
Число страниц:
24
Назначение ГОСТ 32304-2013:
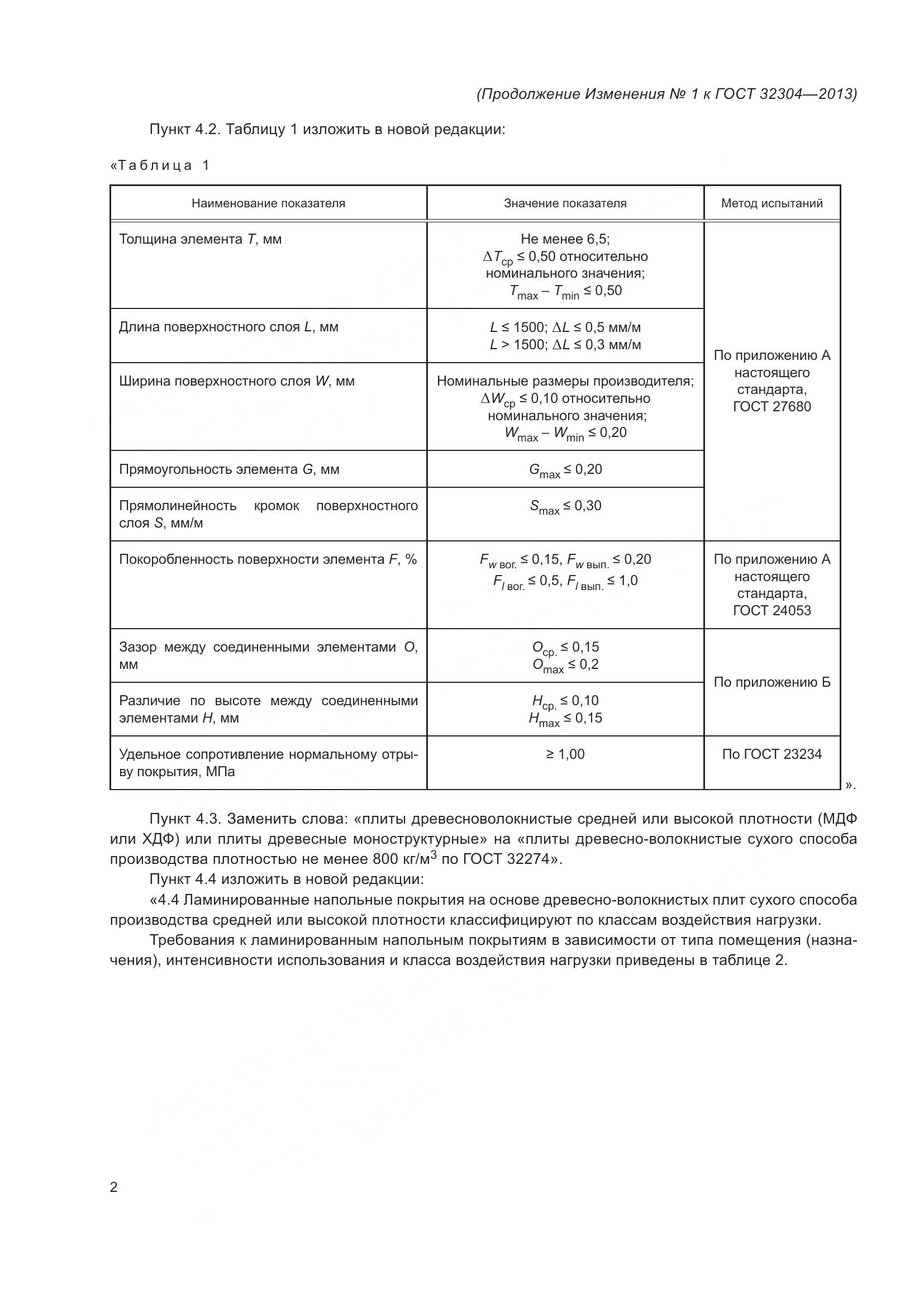
Настоящий стандарт распространяется на ламинированные напольные покрытия, изготовленные из облицованных пленками на основе термореактивных полимеров древесноволокнистых плит средней или высокой плотности или плит древесных моноструктурных, предназначенных для использования в помещениях, защищенных от воздействия влаги
Документ разработан орг-ей:
Технический комитет по стандартизации ТК 121 «Плиты древесные»
Документ принят орг-ей:
Межгосударственный Совет по стандартизации метрологии и сертификации, протокол №44-2013
Ключевые слова документа:
гарантии изготовителя, ламинированные напольные покрытия, методы контроля, плиты древесноволокнистые, плиты моноструктурные, правила приемки, транспортирование, требования безопасности, требования технические, условия технические, хранение

Скачать ГОСТ 32304-2013 вы можете в следующих версиях:

Тип файла:
Дата добавления:
Загрузок:
Размер:
Тип файла:
PDF с изображениями
Добавлен:
21/11/2025 10:17
Скачиваний:
14
Размер файла:
6.28 Мб
  • ГОСТ 32304-2013, страница 1 страница 1
  • ГОСТ 32304-2013, страница 2 страница 2
  • ГОСТ 32304-2013, страница 3 страница 3
  • ГОСТ 32304-2013, страница 4 страница 4
  • ГОСТ 32304-2013, страница 5 страница 5
  • ГОСТ 32304-2013, страница 6 страница 6
  • ГОСТ 32304-2013, страница 7 страница 7
  • ГОСТ 32304-2013, страница 8 страница 8
  • ГОСТ 32304-2013, страница 9 страница 9
  • ГОСТ 32304-2013, страница 10 страница 10
  • ГОСТ 32304-2013, страница 11 страница 11
  • ГОСТ 32304-2013, страница 12 страница 12
  • ГОСТ 32304-2013, страница 13 страница 13
  • ГОСТ 32304-2013, страница 14 страница 14
  • ГОСТ 32304-2013, страница 15 страница 15
  • ГОСТ 32304-2013, страница 16 страница 16
  • ГОСТ 32304-2013, страница 17 страница 17
  • ГОСТ 32304-2013, страница 18 страница 18
  • ГОСТ 32304-2013, страница 19 страница 19
  • ГОСТ 32304-2013, страница 20 страница 20
  • ГОСТ 32304-2013, страница 21 страница 21
  • ГОСТ 32304-2013, страница 22 страница 22
  • ГОСТ 32304-2013, страница 23 страница 23
  • ГОСТ 32304-2013, страница 24 страница 24