ГОСТ 32482-2025
ГОСТ 32482-2025 Прокат тонколистовой холоднокатаный из электротехнической анизотропной стали для трансформаторов. Технические условия
Категории ГОСТ 32482-2025 по ОКС:- 77. Металлургия
- 77.140. Продукция из чугуна и стали
- 77.140.40 Стали со специальными магнитными свойствами
- 77.140.50 Стальной листовой прокат и полуфабрикаты *включая плиты, листы и полосы *стальные полосы для пружин см. 77.140.25
- Статус документа:
- принят, введён в действие 01.01.2026
- Название на английском языке:
- Gold-rolled grain-oriented electrical steel sheet and strip for transformer. Specifications
- Дата актуализации информации по стандарту:
- 17.10.2025, в 09:34 (менее месяца назад)
- Вид стандарта:
- временно не известен
- Дата начала действия ГОСТа:
- 2026-01-01
- Число страниц:
- 20
- Назначение ГОСТ 32482-2025:
- не указано
                        Нормативные ссылки, связанные с ГОСТ 32482-2025:
                        
                            
                                
                            
                    
                        
                    
                    - Стандарт ссылается на ГОСТы:
- ГОСТ 30710-2001
Скачать ГОСТ 32482-2025 вы можете в следующих версиях:
В данный момент версий документа для скачивания не добавлено.
Мы стараемся пополнять базу документов еженедельно и из разных источников, в обозримом будущем версии для этого ГОСТа появятся.
Вы можете просмотреть online текст стандарта ГОСТ 32482-2025
Просмотреть текст ГОСТ 32482-2025Текст стандарта
- 
                             страница 1 страница 1
- 
                             страница 2 страница 2
- 
                             страница 3 страница 3
- 
                             страница 4 страница 4
- 
                             страница 5 страница 5
- 
                             страница 6 страница 6
- 
                             страница 7 страница 7
- 
                             страница 8 страница 8
- 
                             страница 9 страница 9
- 
                             страница 10 страница 10
- 
                             страница 11 страница 11
- 
                             страница 12 страница 12
- 
                             страница 13 страница 13
- 
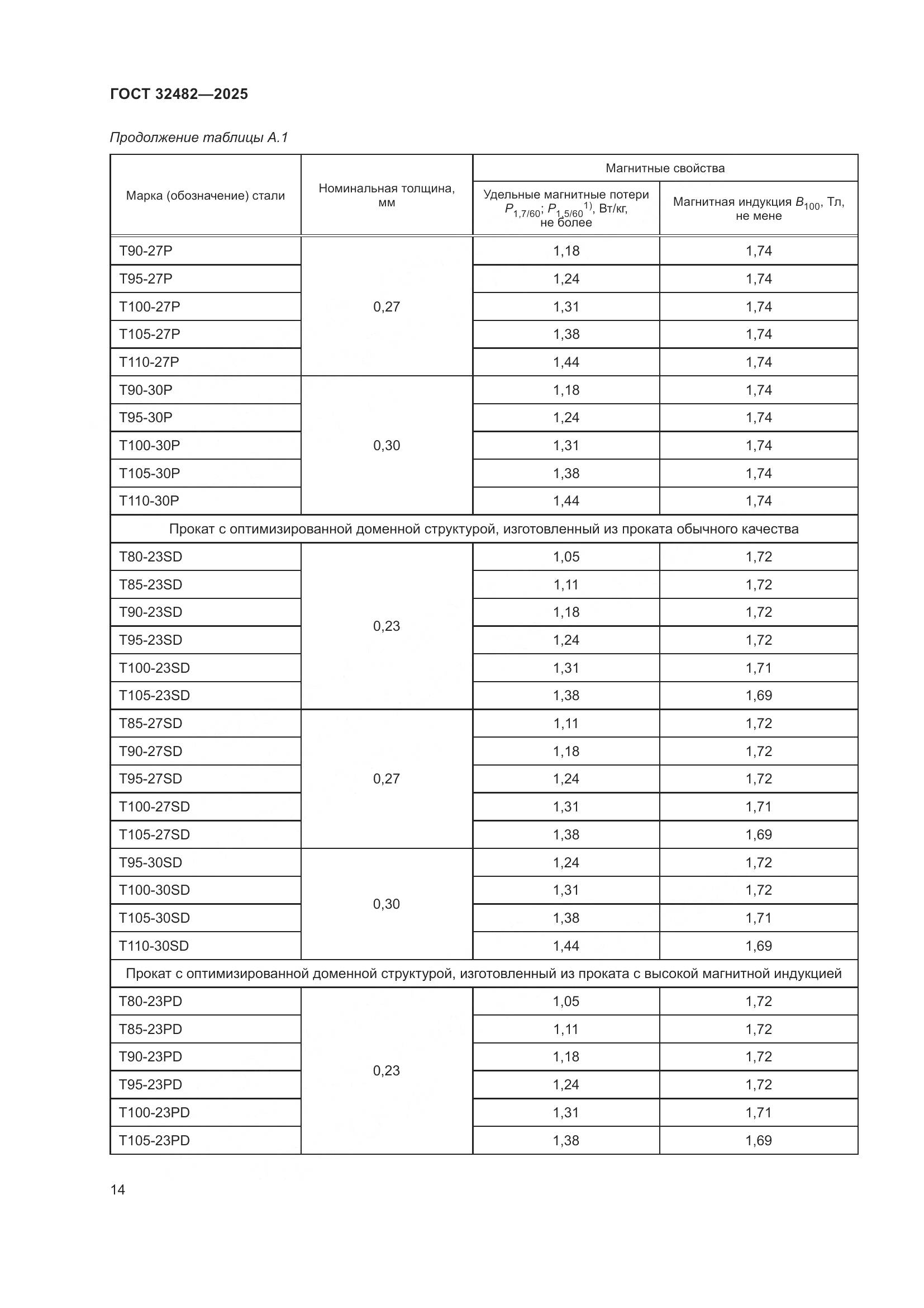
                             страница 14 страница 14
- 
                             страница 15 страница 15
- 
                             страница 16 страница 16
- 
                             страница 17 страница 17
- 
                             страница 18 страница 18
- 
                             страница 19 страница 19
- 
                             страница 20 страница 20