ГОСТ 33045-2014
ГОСТ 33045-2014 Вода. Методы определения азотсодержащих веществ
Категории ГОСТ 33045-2014 по ОКС:- 13. Охрана окружающей среды
- 13.60. Качество воды *включая токсичность, биоразлагаемость, защиту от загрязнения, соответствующие установки и оборудование *стандарты на анализ воды следует включать в подгруппы в соответствии с типом воды
- 13.60.50 Исследование воды для определения содержания химических веществ
- Статус документа:
- действует, введён в действие 01.01.2016
- Название на английском языке:
- Water. Methods for determination of nitrogen-containing matters
- Дата актуализации информации по стандарту:
- 08.11.2025, в 14:37 (сегодня)
- Вид стандарта:
- Стандарты на методы контроля
- Дата начала действия ГОСТа:
- 2016-01-01
- Дата последнего издания документа:
- 2019-02-25
- Число страниц:
- 27
- Назначение ГОСТ 33045-2014:
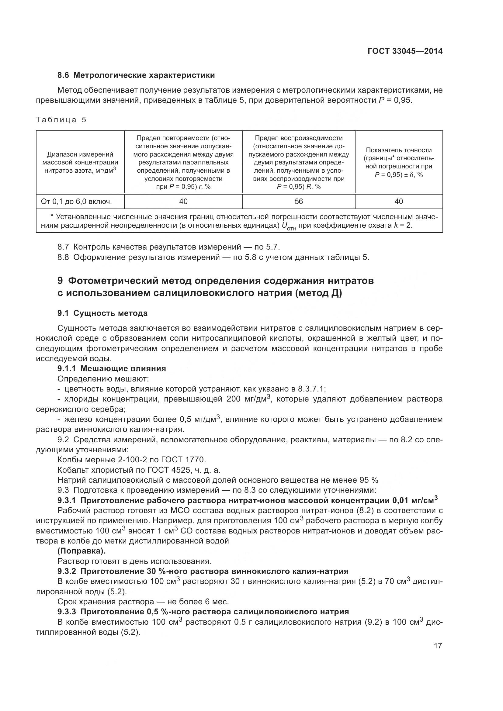
- Настоящий стандарт распространяется на питьевую (в том числе расфасованную в емкости), природную (поверхностную и подземную) и сточную воду и устанавливает следующие методы определения содержания минеральных азотсодержащих веществ: - фотометрический метод определения содержания аммиака и ионов аммония (суммарно) с реактивом Несслера при массовой концентрации от 0,1 до 3,0 мг/дм куб. без разбавления пробы. При необходимости определения более высоких концентраций пробу разбавляют, но не более чем в 100 раз (метод А); - фотометрический метод определения содержания нитритов с использованием сульфаниловой кислоты при массовой концентрации от 0,003 до 0,3 мг/дм куб. без разбавления пробы. При необходимости определения более высоких концентраций пробу разбавляют, но не более чем в 100 раз (метод Б); - фотометрический метод определения азота нитритов с использованием 4-аминобензолсульфонамида при массовой концентрации от 0,25 до 10,0 мг/дм куб. (метод В); - фотометрический метод определения содержания азота нитратов с использованием фенолдисульфоновой кислоты при массовой концентрации от 0,1 до 6,0 мг/дм куб. (метод Г); - фотометрический метод определения содержания нитратов с использованием салициловокислого натрия при массовой концентрации от 0,1 до 2,0 мг/дм куб. без разбавления пробы. При необходимости определения более высоких концентраций пробу разбавляют, но не более чем в 100 раз (метод Д).
- Документ разработан орг-ей:
- Федеральное агентство по техническому регулированию и метрологии (Росстандарт)
- Документ принят орг-ей:
- Межгосударственный Совет по стандартизации метрологии и сертификации, протокол №71-П
- Ключевые слова документа:
- ионов аммония, испытания вода, нитратов, нитритов, определение минеральных азотсодержащих веществ, питьевая вода, полевые условия, природная вода, санитарно-бактериологический анализ, содержание аммиака, сточная вода, фотометрия
Нормативные ссылки, связанные с ГОСТ 33045-2014:
- Стандарт ссылается на ГОСТы:
- ГОСТ Р ИСО 5725-6-2002, ГОСТ Р 56237-2014, ГОСТ ИСО/МЭК 17025-2009, ГОСТ ИСО 5725-6-2003, ГОСТ OIML R 76-1-2011, ГОСТ 29227-91, ГОСТ 9147-80, ГОСТ 12026-76, ГОСТ 18190-72, ГОСТ 20298-74, ГОСТ 24147-80, ГОСТ 25336-82, ГОСТ 27068-86, ГОСТ 28311-89, ГОСТ 29169-91, ГОСТ 32220-2013, ГОСТ 6709-72, ГОСТ 14919-83, ГОСТ 31861-2012, ГОСТ 31862-2012, ГОСТ 31868-2012, ГОСТ 4199-76, ГОСТ 17.1.5.05-85, ГОСТ 61-75, ГОСТ 83-79, ГОСТ 1277-75, ГОСТ 1770-74, ГОСТ 2493-75, ГОСТ 3760-79, ГОСТ 3773-72, ГОСТ 4197-74, ГОСТ 4198-75, ГОСТ 20015-88, ГОСТ 4204-77, ГОСТ 4217-77, ГОСТ 4238-77, ГОСТ 4328-77, ГОСТ 4329-77, ГОСТ 4517-87, ГОСТ 4525-77, ГОСТ 5845-79, ГОСТ 6552-80
- На стандарт ссылаются:
- ГОСТ 9.314-90
Скачать ГОСТ 33045-2014 вы можете в следующих версиях:
Дата добавления:
Тип файла:
Загрузок:
Размер:
Ссылка на страницу загрузки:
-
23/01/2016 01:37
PDF с изображениями
0
-
файл не найден
Текст стандарта
-
страница 1
-
страница 2
-
страница 3
-
страница 4
-
страница 5
-
страница 6
-
страница 7
-
страница 8
-
страница 9
-
страница 10
-
страница 11
-
страница 12
-
страница 13
-
страница 14
-
страница 15
-
страница 16
-
страница 17
-
страница 18
-
страница 19
-
страница 20
-
страница 21
-
страница 22
-
страница 23
-
страница 24
-
страница 25
-
страница 26
-
страница 27