ГОСТ 33563-2015 Биотопливо твердое. Отбор проб

Категории ГОСТ 33563-2015 по ОКС:
Статус документа:
действует, введён в действие 01.01.2017
Название на английском языке:
Solid biofuels. Sampling
Дата актуализации информации по стандарту:
23.10.2025, в 11:33 (менее месяца назад)
Вид стандарта:
Стандарты на продукцию (услуги)
Дата начала действия ГОСТа:
2017-01-01
Дата последнего издания документа:
2016-02-21
Число страниц:
40
Назначение ГОСТ 33563-2015:
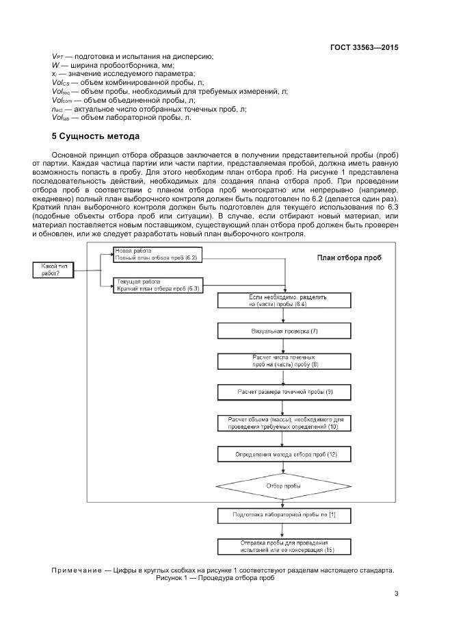
Настоящий стандарт устанавливает методы отбора проб твердого биотоплива из мест произрастания сырья, на предприятиях производителях, из отдельной поставки или со склада. Настоящий стандарт распространяется как на ручные, так и на механические методы отбора проб твердого биотоплива следующих типов: -мелкие (тонкие) и определенной формы частицы материалов размерами частиц около 10 мм, которые могут быть отобраны с помощью лопатки или труб, например: опилки, оливковые косточки и древесные гранулы; -крупные (грубые) или нерегулярной формы частицы материала размерами частиц около 200 мм, которые могут быть отобраны вилами или лопатой, например: древесная щепа и скорлупа орехов, щепа остатков леса и неутромбованная солома; -брикетированные материалы, требующие специальных инструментов для отбора в том случае, если брикеты не должны быть сломаны при открытии для отбора проб, например: кипы соломы или травы; -большие куски (размер частиц более 200 мм, собираемые вручную); -волокнистые и растительные отходы, обезвоженные в ленточном прессе; -круглое дерево
Документ разработан орг-ей:
Федеральное агентство по техническому регулированию и метрологии (Росстандарт)
Документ принят орг-ей:
Межгосударственный Совет по стандартизации метрологии и сертификации, протокол №81-П
Ключевые слова документа:
биотопливо твердое, отбор проб
Нормативные ссылки, связанные с ГОСТ 33563-2015:

Скачать ГОСТ 33563-2015 вы можете в следующих версиях:

В данный момент версий документа для скачивания не добавлено.

Мы стараемся пополнять базу документов еженедельно и из разных источников, в обозримом будущем версии для этого ГОСТа появятся.

Вы можете просмотреть online текст стандарта ГОСТ 33563-2015

Просмотреть текст ГОСТ 33563-2015

Текст стандарта

  • ГОСТ 33563-2015, страница 1 страница 1
  • ГОСТ 33563-2015, страница 2 страница 2
  • ГОСТ 33563-2015, страница 3 страница 3
  • ГОСТ 33563-2015, страница 4 страница 4
  • ГОСТ 33563-2015, страница 5 страница 5
  • ГОСТ 33563-2015, страница 6 страница 6
  • ГОСТ 33563-2015, страница 7 страница 7
  • ГОСТ 33563-2015, страница 8 страница 8
  • ГОСТ 33563-2015, страница 9 страница 9
  • ГОСТ 33563-2015, страница 10 страница 10
  • ГОСТ 33563-2015, страница 11 страница 11
  • ГОСТ 33563-2015, страница 12 страница 12
  • ГОСТ 33563-2015, страница 13 страница 13
  • ГОСТ 33563-2015, страница 14 страница 14
  • ГОСТ 33563-2015, страница 15 страница 15
  • ГОСТ 33563-2015, страница 16 страница 16
  • ГОСТ 33563-2015, страница 17 страница 17
  • ГОСТ 33563-2015, страница 18 страница 18
  • ГОСТ 33563-2015, страница 19 страница 19
  • ГОСТ 33563-2015, страница 20 страница 20
  • ГОСТ 33563-2015, страница 21 страница 21
  • ГОСТ 33563-2015, страница 22 страница 22
  • ГОСТ 33563-2015, страница 23 страница 23
  • ГОСТ 33563-2015, страница 24 страница 24
  • ГОСТ 33563-2015, страница 25 страница 25
  • ГОСТ 33563-2015, страница 26 страница 26
  • ГОСТ 33563-2015, страница 27 страница 27
  • ГОСТ 33563-2015, страница 28 страница 28
  • ГОСТ 33563-2015, страница 29 страница 29
  • ГОСТ 33563-2015, страница 30 страница 30
  • ГОСТ 33563-2015, страница 31 страница 31
  • ГОСТ 33563-2015, страница 32 страница 32
  • ГОСТ 33563-2015, страница 33 страница 33
  • ГОСТ 33563-2015, страница 34 страница 34
  • ГОСТ 33563-2015, страница 35 страница 35
  • ГОСТ 33563-2015, страница 36 страница 36
  • ГОСТ 33563-2015, страница 37 страница 37
  • ГОСТ 33563-2015, страница 38 страница 38
  • ГОСТ 33563-2015, страница 39 страница 39
  • ГОСТ 33563-2015, страница 40 страница 40