ГОСТ 33967-2016 Насосы центробежные для перекачивания вязких жидкостей. Поправки к рабочим характеристикам

Категории ГОСТ 33967-2016 по ОКС:
Статус документа:
действует, введён в действие 01.01.2018
Название на английском языке:
Centrifugal pumps pumping viscous liquids. Corrections for operating characteristics
Дата актуализации информации по стандарту:
30.10.2025, в 09:50 (менее месяца назад)
Вид стандарта:
Стандарты на продукцию (услуги)
Дата начала действия ГОСТа:
2018-01-01
Дата последнего издания документа:
2017-07-18
Коды документа ГОСТ 33967-2016:
Код КГС:
Г82
Число страниц:
24
Назначение ГОСТ 33967-2016:
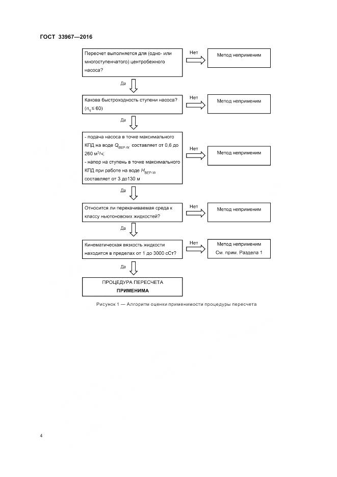
Настоящий стандарт устанавливает порядок пересчета значений рабочих характеристик, полученных при работе на воде в предпочтительном рабочем диапазоне одноступенчатых и многоступенчатых центробежных насосов типовых конструкций с одно- и двухсторонним входом, на вязкие (ньютоновские) жидкости со следующими ограничениями: ­ кинематическая вязкость жидкости, на которую производится пересчет, составляет от 1 до 3000 сСт; ­ при работе насоса на воде в точке максимального КПД: ­ подача QBEP-W составляет от 0,6 до 260 м3/ч; ­ коэффициент быстроходности ступени насоса nq ? 60 (ns ? 219); ­ напор на ступень HBEP-W составляет 3–130 м. Настоящий стандарт не применим: - к осевым насосам и насосам со специфическими конструктивными особенностями (дополнительная информация приведена в приложении В); - в случае если значение NPSHA превышает значение NPSHR на величину, недостаточную для компенсации увеличения NPSHR при увеличении вязкости; - при работе насоса на неньютоновских жидкостях (гели, пульпа и пр.)
Документ принят орг-ей:
Межгосударственный Совет по стандартизации метрологии и сертификации, протокол №92-П
Ключевые слова документа:
вязкие жидкости, насосы, поправки, центробежные насосы

Скачать ГОСТ 33967-2016 вы можете в следующих версиях:

В данный момент версий документа для скачивания не добавлено.

Мы стараемся пополнять базу документов еженедельно и из разных источников, в обозримом будущем версии для этого ГОСТа появятся.

Вы можете просмотреть online текст стандарта ГОСТ 33967-2016

Просмотреть текст ГОСТ 33967-2016

Текст стандарта

  • ГОСТ 33967-2016, страница 1 страница 1
  • ГОСТ 33967-2016, страница 2 страница 2
  • ГОСТ 33967-2016, страница 3 страница 3
  • ГОСТ 33967-2016, страница 4 страница 4
  • ГОСТ 33967-2016, страница 5 страница 5
  • ГОСТ 33967-2016, страница 6 страница 6
  • ГОСТ 33967-2016, страница 7 страница 7
  • ГОСТ 33967-2016, страница 8 страница 8
  • ГОСТ 33967-2016, страница 9 страница 9
  • ГОСТ 33967-2016, страница 10 страница 10
  • ГОСТ 33967-2016, страница 11 страница 11
  • ГОСТ 33967-2016, страница 12 страница 12
  • ГОСТ 33967-2016, страница 13 страница 13
  • ГОСТ 33967-2016, страница 14 страница 14
  • ГОСТ 33967-2016, страница 15 страница 15
  • ГОСТ 33967-2016, страница 16 страница 16
  • ГОСТ 33967-2016, страница 17 страница 17
  • ГОСТ 33967-2016, страница 18 страница 18
  • ГОСТ 33967-2016, страница 19 страница 19
  • ГОСТ 33967-2016, страница 20 страница 20
  • ГОСТ 33967-2016, страница 21 страница 21
  • ГОСТ 33967-2016, страница 22 страница 22
  • ГОСТ 33967-2016, страница 23 страница 23
  • ГОСТ 33967-2016, страница 24 страница 24