ГОСТ 34285-2017 Продукты пищевые, продовольственное сырье. Метод обнаружения химиотерапевтических лекарственных средств для ветеринарного применения с помощью иммуноферментного анализа с хемилюминесцентной детекцией с использованием технологии биочипов

Категории ГОСТ 34285-2017 по ОКС:
Статус документа:
действует, введён в действие 01.01.2019
Название на английском языке:
Food products, food raw materials. Method for the detection of chemotherapeutic drugs by the hemiluminescence immunoenzymatic assay with the use of biochip technology
Дата актуализации информации по стандарту:
30.10.2025, в 12:37 (несколько дней назад)
Вид стандарта:
Стандарты на методы контроля
Дата начала действия ГОСТа:
2019-01-01
Дата последнего издания документа:
2017-11-29
Число страниц:
21
Назначение ГОСТ 34285-2017:
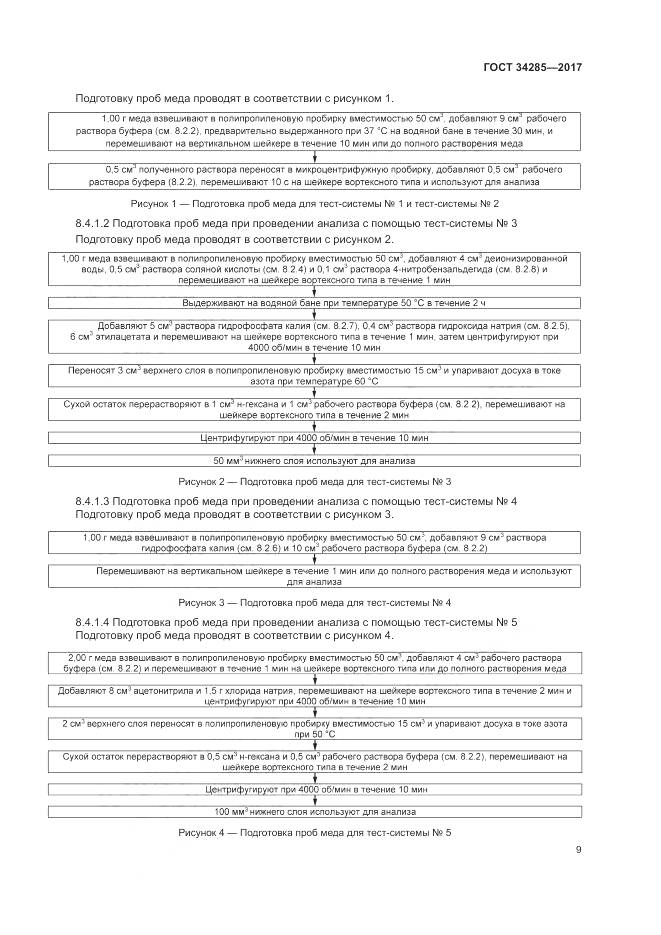
Настоящий стандарт распространяется на пищевые продукты и продовольственное сырье: мясо (все виды животных), в том числе мясо птицы, молоко, мед и устанавливает иммуноферментный метод с хемилюминесцентной детекцией с использованием биочипов для одновременного обнаружения: - сульфадиазина, сульфадиметоксина, сульфахиноксалина, сульфаметазина, сульфаметоксазола, сульфатиазола, сульфисоксазола, сульфапиридина, сульфамеразина, сульфамонометоксина, сульфаметоксипиридазина, сульфахлорпиридазина, сульфадоксина, дапсона, триметоприма; - хинолонов (норфлоксацина, ципрофлоксацина, данофлоксацина, дифлоксацина, эноксацина, энрофлоксацина, марбофлоксацина, офлоксацина, орбифлоксацина, пипемидовой кислоты, сарафлоксацина, оксолиновой кислоты, флероксацина, левофлоксацина, надифлоксацина, пазуфлоксацина, пефлоксацина), цефтиофура, тиамфеникола, стрептомицина, тилозина, тетрациклинов (тетрациклина, 4-эпитетрациклина, ролитетрациклина, 4-эпиокситетрациклина, окситетрациклина, хлортетрациклина, демеклоциклина, доксициклина, 4-эпихлортетрациклина, метациклина); - метаболитов фуразолидона (АОЗ), фуралтадона (АМОЗ), нитрофурантоина (АГД) и фурацилина (СЕМ); - спирамицина, апрамицина, бацитрацина, неомицина, тобрамицина, тилозина В, спектиномицина, амикацина, линкозамидов (линкомицина, клиндамицина, пирлимицина), эритромицина, стрептомицина и виргинамицина; - нитроимидазолов и хлорамфеникола; - цефалексина, цефуроксима, антибиотиков бета-лактамного типа (ампициллина, амоксицеллина, клоксациллина, диклоксациллина, оксациллина, пенициллина G, пенициллина V, цефоперазона, цефкинома, цефапирина, цефалониума); бензимидазолов (альбендазола, фенбендазола, оксибендазола, мебендазола, флюбендазола, парбендазола), аминобензимидазолов (альбендазол-2-амино сульфона, аминофлюбендазола, аминомебендазола), левамизола, авермектинов (ивермектина, абамектина, дорамектина, эриномектина, эмамектина бензоата), тиабендазола и 5-гидрокси-тиабендазола суммарно, моксидектина, триклабендазола
Документ разработан орг-ей:
Федеральное агентство по техническому регулированию и метрологии (Росстандарт)
Документ принят орг-ей:
Межгосударственный Совет по стандартизации метрологии и сертификации, протокол №103-П
Ключевые слова документа:
антиген, антитела, иммуноферментный анализ с хемилюминесцентной детекцией с использованием технологии биочипов, мед, молоко, мясо, оптическая плотность, продовольственное сырье, продукты пищевые, тест-система, ферментный конъюгат

Скачать ГОСТ 34285-2017 вы можете в следующих версиях:

В данный момент версий документа для скачивания не добавлено.

Мы стараемся пополнять базу документов еженедельно и из разных источников, в обозримом будущем версии для этого ГОСТа появятся.

Вы можете просмотреть online текст стандарта ГОСТ 34285-2017

Просмотреть текст ГОСТ 34285-2017

Текст стандарта

  • ГОСТ 34285-2017, страница 1 страница 1
  • ГОСТ 34285-2017, страница 2 страница 2
  • ГОСТ 34285-2017, страница 3 страница 3
  • ГОСТ 34285-2017, страница 4 страница 4
  • ГОСТ 34285-2017, страница 5 страница 5
  • ГОСТ 34285-2017, страница 6 страница 6
  • ГОСТ 34285-2017, страница 7 страница 7
  • ГОСТ 34285-2017, страница 8 страница 8
  • ГОСТ 34285-2017, страница 9 страница 9
  • ГОСТ 34285-2017, страница 10 страница 10
  • ГОСТ 34285-2017, страница 11 страница 11
  • ГОСТ 34285-2017, страница 12 страница 12
  • ГОСТ 34285-2017, страница 13 страница 13
  • ГОСТ 34285-2017, страница 14 страница 14
  • ГОСТ 34285-2017, страница 15 страница 15
  • ГОСТ 34285-2017, страница 16 страница 16
  • ГОСТ 34285-2017, страница 17 страница 17
  • ГОСТ 34285-2017, страница 18 страница 18
  • ГОСТ 34285-2017, страница 19 страница 19
  • ГОСТ 34285-2017, страница 20 страница 20
  • ГОСТ 34285-2017, страница 21 страница 21