ГОСТ 34418-2018 Палладий. Методы атомно-эмиссионного анализа с дуговым возбуждением спектра

Категории ГОСТ 34418-2018 по ОКС:
Статус документа:
действует, введён в действие 01.03.2019
Название на английском языке:
Palladium. Methods of atomic-emission analysis with arc excitement of a range
Дата актуализации информации по стандарту:
19.06.2025, в 20:44 (менее полугода назад)
Вид стандарта:
Стандарты на методы контроля
Дата начала действия ГОСТа:
2019-03-01
Дата последнего издания документа:
2018-12-03
Число страниц:
20
Назначение ГОСТ 34418-2018:
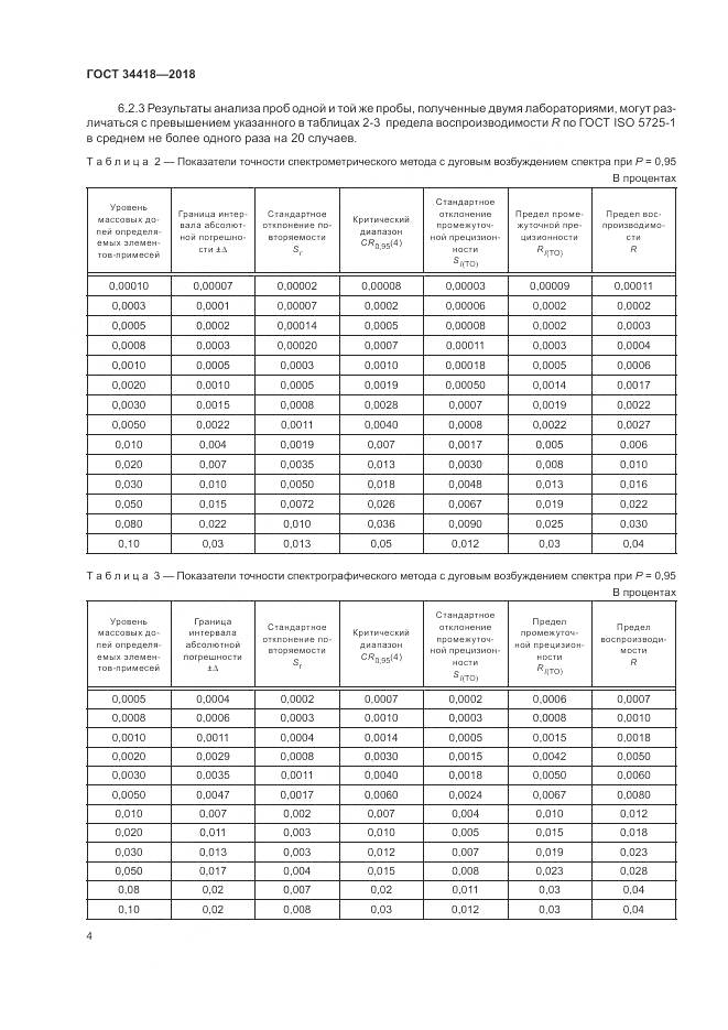
Настоящий стандарт распространяется на палладий в слитках и порошке с массовой долей палладия не менее 99,8 %, предназначенный для производства сплавов, полуфабрикатов, химических соединений палладия и других целей. Настоящий стандарт устанавливает спектрографический метод атомно-эмиссионного анализа (с дуговым возбуждением спектра) для определения массовых долей примесей: алюминия, железа, золота, иридия, кальция, кобальта, кремния, магния, марганца, меди, никеля, олова, осмия, платины, родия, рутения, свинца, серебра, сурьмы, теллура, хрома, цинка и спектрометрический метод атомно-эмиссионного анализа (с дуговым возбуждением спектра) для определения массовых долей примесей: алюминия, висмута, железа, золота, иридия, кальция, кобальта, кремния, магния, марганца, меди, никеля, олова, осмия, платины, рения, родия, рутения, свинца, серебра, сурьмы, теллура, титана, хрома и цинка в палладии
Документ принят орг-ей:
Межгосударственный Совет по стандартизации метрологии и сертификации, протокол №109-П
Ключевые слова документа:
абсолютная погрешность, дуга переменного тока, дуга постоянного тока, контроль точности результатов анализа, методы (спектрографический и спектрометрический) атомно-эмиссионного анализа, образцы для градуировки, палладий, палладий в порошке, палладий в слитках, правильность метода анализа, предел воспроизводимости, предел повторяемости, предел промежуточной прецизионности, прецизионность метода анализа, примеси, стандартные образцы состава

Скачать ГОСТ 34418-2018 вы можете в следующих версиях:

В данный момент версий документа для скачивания не добавлено.

Мы стараемся пополнять базу документов еженедельно и из разных источников, в обозримом будущем версии для этого ГОСТа появятся.

Вы можете просмотреть online текст стандарта ГОСТ 34418-2018

Просмотреть текст ГОСТ 34418-2018

Текст стандарта

  • ГОСТ 34418-2018, страница 1 страница 1
  • ГОСТ 34418-2018, страница 2 страница 2
  • ГОСТ 34418-2018, страница 3 страница 3
  • ГОСТ 34418-2018, страница 4 страница 4
  • ГОСТ 34418-2018, страница 5 страница 5
  • ГОСТ 34418-2018, страница 6 страница 6
  • ГОСТ 34418-2018, страница 7 страница 7
  • ГОСТ 34418-2018, страница 8 страница 8
  • ГОСТ 34418-2018, страница 9 страница 9
  • ГОСТ 34418-2018, страница 10 страница 10
  • ГОСТ 34418-2018, страница 11 страница 11
  • ГОСТ 34418-2018, страница 12 страница 12
  • ГОСТ 34418-2018, страница 13 страница 13
  • ГОСТ 34418-2018, страница 14 страница 14
  • ГОСТ 34418-2018, страница 15 страница 15
  • ГОСТ 34418-2018, страница 16 страница 16
  • ГОСТ 34418-2018, страница 17 страница 17
  • ГОСТ 34418-2018, страница 18 страница 18
  • ГОСТ 34418-2018, страница 19 страница 19
  • ГОСТ 34418-2018, страница 20 страница 20