ГОСТ 494-2014
ГОСТ 494-2014 Трубы латунные. Технические условия
Категории ГОСТ 494-2014 по ОКС:- 23. Гидравлика и пневматика
- 23.40. Трубопроводы и их компоненты
- 23.40.15 Трубы из цветных металлов *трубы и трубки специального назначения из цветных металлов см. 77.150
- Статус документа:
- действует, введён в действие 01.09.2015
- Название на английском языке:
- Brass tubes. Specifications
- Дата актуализации информации по стандарту:
- 17.12.2025, в 16:07 (в течение последней недели)
- Вид стандарта:
- Стандарты на продукцию (услуги)
- Дата начала действия ГОСТа:
- 2015-09-01
- Дата последнего издания документа:
- 2015-03-20
Коды документа ГОСТ 494-2014:
- Код КГС:
- В64
- Число страниц:
- 34
- Назначение ГОСТ 494-2014:
- Настоящий стандарт распространяется на латунные круглые холоднодеформированные и прессованные трубы общего назначения. Стандарт устанавливает сортамент, технические требования, правила приемки, методы контроля и испытаний, упаковку, маркировку, транспортирование и хранение труб
- Документ разработан орг-ей:
- Федеральное агентство по техническому регулированию и метрологии (Росстандарт)
- Документ принят орг-ей:
- Межгосударственный Совет по стандартизации метрологии и сертификации, протокол №67-П
- Ключевые слова документа:
- бухта, герметичность, косина реза, кривизна, марки, наружный диаметр, овальность, толщина стенки, трубы латунные
Нормативные ссылки, связанные с ГОСТ 494-2014:
- Стандарт ссылается на ГОСТы:
- ГОСТ 3560-73, ГОСТ 1652.4-77, ГОСТ 1652.5-77, ГОСТ 1652.6-77, ГОСТ 1652.7-77, ГОСТ 1652.8-77, ГОСТ 1652.9-77, ГОСТ 24231-80, ГОСТ 26877-91, ГОСТ 2999-75, ГОСТ 3282-74, ГОСТ 1652.3-77, ГОСТ 9716.1-79, ГОСТ 9716.2-79, ГОСТ 9716.3-79, ГОСТ 427-75, ГОСТ 6507-90, ГОСТ 7376-89, ГОСТ 7502-98, ГОСТ 18321-73, ГОСТ 18242-72, ГОСТ 24047Ї-80, ГОСТ 22225-76, ГОСТ 10006-80, ГОСТ 3845-75, ГОСТ 8695-75, ГОСТ 9557-87, ГОСТ 10198-91, ГОСТ 12082-82, ГОСТ 14192-96, ГОСТ 15102-75, ГОСТ 15846-2002, ГОСТ 21650-76, ГОСТ 15467-79, ГОСТ 24597-81, ГОСТ 2991-85, ГОСТ 1173-2006, ГОСТ 15527-2004, ГОСТ 1652.10-77, ГОСТ 1652.11-77, ГОСТ 1652.12-77, ГОСТ 1652.13-77, ГОСТ 1652.1-77, ГОСТ 1652.2-77
- На стандарт ссылаются:
- ГОСТ 34347-2017
Скачать ГОСТ 494-2014 вы можете в следующих версиях:
Тип файла:
Дата добавления:
Загрузок:
Размер:
Ссылка на скачивание:
Добавлен:
20/11/2025 16:12
Скачиваний:
13
Размер файла:
10.43 Мб
Ссылка для скачивания:
Поправки и изменения к ГОСТ 494-2014:
-
Наименование, вид:Датарегистрации:начала действия:Ссылка:
-
Поправка к ГОСТ 494-2014
Тип изменения: Поправка
Номер изменения:
Регистрационный номер: -
2023-07-132023-07-13
-
страница 1
-
страница 2
-
страница 3
-
страница 4
-
страница 5
-
страница 6
-
страница 7
-
страница 8
-
страница 9
-
страница 10
-
страница 11
-
страница 12
-
страница 13
-
страница 14
-
страница 15
-
страница 16
-
страница 17
-
страница 18
-
страница 19
-
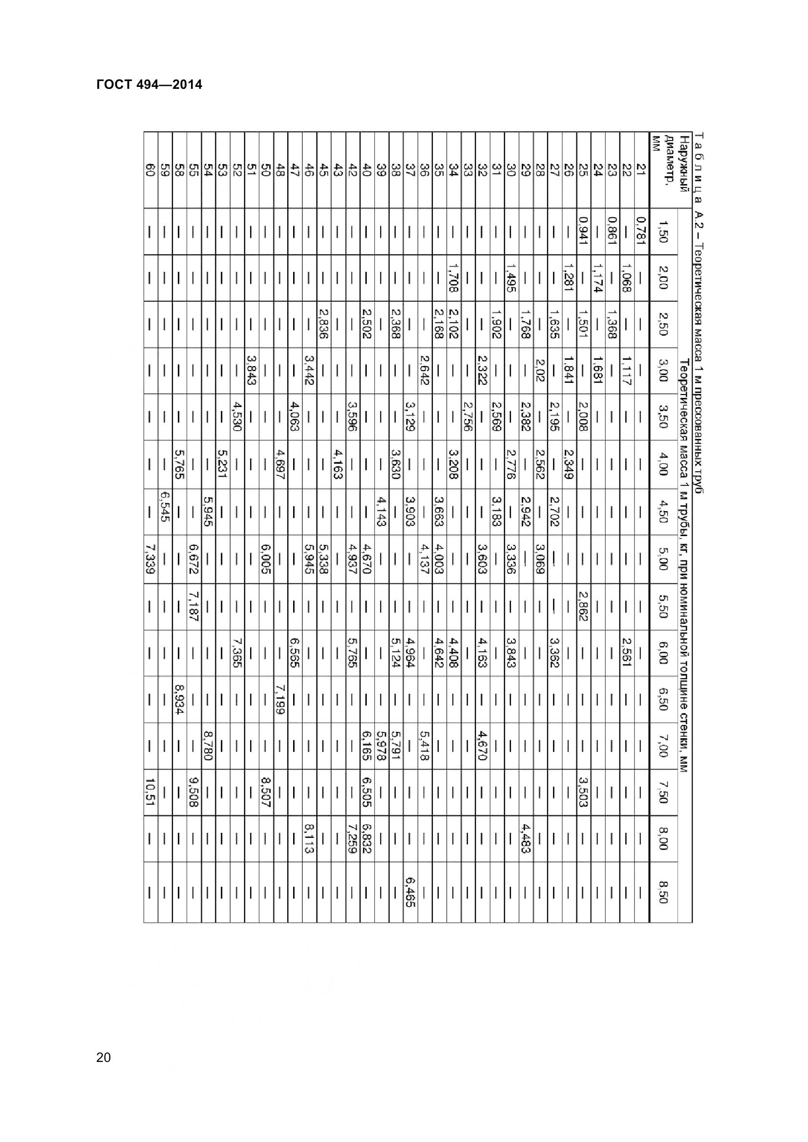
страница 20
-
страница 21
-
страница 22
-
страница 23
-
страница 24
-
страница 25
-
страница 26
-
страница 27
-
страница 28
-
страница 29
-
страница 30
-
страница 31
-
страница 32
-
страница 33
-
страница 34