ГОСТ Р 53030-2016
ГОСТ Р 53030-2016 Волокно хлопковое. Методы определения клейкости и бактериально-грибкового заражения
Категории ГОСТ Р 53030-2016 по ОКС:- Статус документа:
- действует, введён в действие 01.08.2017
- Название на английском языке:
- Cotton fibre. Methods for determination of stickiness and fungal contamination
- Дата актуализации информации по стандарту:
- 27.10.2025, в 12:37 (несколько дней назад)
- Вид стандарта:
- временно не известен
- Дата начала действия ГОСТа:
- 2017-08-01
- Число страниц:
- 16
- Назначение ГОСТ Р 53030-2016:
- не указано
                        Нормативные ссылки, связанные с ГОСТ Р 53030-2016:
                        
                            
                                
                            
                    
                        
                    
                    - Стандарт ссылается на ГОСТы:
- ГОСТ 26930-86
Скачать ГОСТ Р 53030-2016 вы можете в следующих версиях:
В данный момент версий документа для скачивания не добавлено.
Мы стараемся пополнять базу документов еженедельно и из разных источников, в обозримом будущем версии для этого ГОСТа появятся.
Вы можете просмотреть online текст стандарта ГОСТ Р 53030-2016
Просмотреть текст ГОСТ Р 53030-2016Текст стандарта
- 
                             страница 1 страница 1
- 
                             страница 2 страница 2
- 
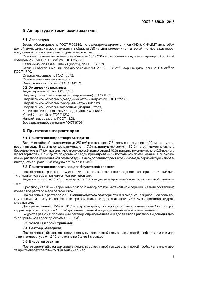
                             страница 3 страница 3
- 
                             страница 4 страница 4
- 
                             страница 5 страница 5
- 
                             страница 6 страница 6
- 
                             страница 7 страница 7
- 
                             страница 8 страница 8
- 
                             страница 9 страница 9
- 
                             страница 10 страница 10
- 
                             страница 11 страница 11
- 
                             страница 12 страница 12
- 
                             страница 13 страница 13
- 
                             страница 14 страница 14
- 
                             страница 15 страница 15
- 
                             страница 16 страница 16