ГОСТ Р 56410-2015 Глобальная навигационная спутниковая система. Методы и технологии выполнения геодезических работ. Общие требования к центрам точных эфемерид

Категории ГОСТ Р 56410-2015 по ОКС:
Статус документа:
действует, введён в действие 01.01.2016
Название на английском языке:
Global navigation satellite system. Methods and technologies of geodetic works. General requirements for precise ephemeris centers
Дата актуализации информации по стандарту:
22.10.2025, в 20:00 (менее месяца назад)
Вид стандарта:
временно не известен
Дата начала действия ГОСТа:
2016-01-01
Число страниц:
8
Назначение ГОСТ Р 56410-2015:
не указано
Нормативные ссылки, связанные с ГОСТ Р 56410-2015:

Скачать ГОСТ Р 56410-2015 вы можете в следующих версиях:

Дата добавления:
Тип файла:
Загрузок:
Размер:
20/11/2025 15:42
PDF с изображениями
0
0.54 Мб

Текст стандарта

  • ГОСТ Р 56410-2015, страница 1 страница 1
  • ГОСТ Р 56410-2015, страница 2 страница 2
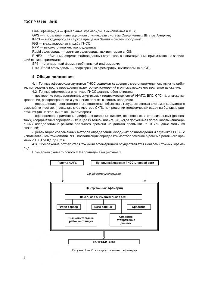
  • ГОСТ Р 56410-2015, страница 3 страница 3
  • ГОСТ Р 56410-2015, страница 4 страница 4
  • ГОСТ Р 56410-2015, страница 5 страница 5
  • ГОСТ Р 56410-2015, страница 6 страница 6
  • ГОСТ Р 56410-2015, страница 7 страница 7
  • ГОСТ Р 56410-2015, страница 8 страница 8