ГОСТ Р 56854-2016
ГОСТ Р 56854-2016 Прутки прессованные из алюминиевых сплавов для судостроения. Технические условия
Категории ГОСТ Р 56854-2016 по ОКС:- Статус документа:
- действует, введён в действие 01.11.2016
- Название на английском языке:
- Extruded bars of aluminium alloy for shipbuilding. Specifications
- Дата актуализации информации по стандарту:
- 23.10.2025, в 14:51 (менее месяца назад)
- Вид стандарта:
- временно не известен
- Дата начала действия ГОСТа:
- 2016-11-01
- Число страниц:
- 12
- Назначение ГОСТ Р 56854-2016:
- не указано
                        Нормативные ссылки, связанные с ГОСТ Р 56854-2016:
                        
                            
                                
                            
                    
                        
                    
                    - Стандарт ссылается на ГОСТы:
- ГОСТ 26930-86
Скачать ГОСТ Р 56854-2016 вы можете в следующих версиях:
В данный момент версий документа для скачивания не добавлено.
Мы стараемся пополнять базу документов еженедельно и из разных источников, в обозримом будущем версии для этого ГОСТа появятся.
Вы можете просмотреть online текст стандарта ГОСТ Р 56854-2016
Просмотреть текст ГОСТ Р 56854-2016Текст стандарта
- 
                             страница 1 страница 1
- 
                             страница 2 страница 2
- 
                             страница 3 страница 3
- 
                             страница 4 страница 4
- 
                             страница 5 страница 5
- 
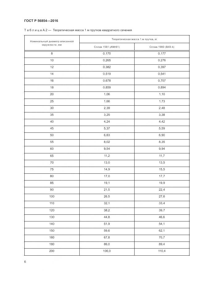
                             страница 6 страница 6
- 
                             страница 7 страница 7
- 
                             страница 8 страница 8
- 
                             страница 9 страница 9
- 
                             страница 10 страница 10
- 
                             страница 11 страница 11
- 
                             страница 12 страница 12