ГОСТ Р 56972-2016 Конструкции несущие базовые радиоэлектронных средств. Управление температурными режимами шкафов, соответствующих стандартам серий IEC 60297 и IEC 60917. Часть 2. Руководство по проектированию. Метод определения конструкции принудительного воздушного охлаждения

Категории ГОСТ Р 56972-2016 по ОКС:
Статус документа:
действует, введён в действие 01.03.2017
Название на английском языке:
Construction of bearing base electronic. The management cabinets, meet the standards of the series IEC 60297 and IEC 60917. Part 2. Design Guide. A method of determining the design of forced-air cooling
Дата актуализации информации по стандарту:
26.10.2025, в 22:53 (в течение последней недели)
Вид стандарта:
временно не известен
Дата начала действия ГОСТа:
2017-03-01
Число страниц:
16
Назначение ГОСТ Р 56972-2016:
не указано
Нормативные ссылки, связанные с ГОСТ Р 56972-2016:

Скачать ГОСТ Р 56972-2016 вы можете в следующих версиях:

В данный момент версий документа для скачивания не добавлено.

Мы стараемся пополнять базу документов еженедельно и из разных источников, в обозримом будущем версии для этого ГОСТа появятся.

Вы можете просмотреть online текст стандарта ГОСТ Р 56972-2016

Просмотреть текст ГОСТ Р 56972-2016

Текст стандарта

  • ГОСТ Р 56972-2016, страница 1 страница 1
  • ГОСТ Р 56972-2016, страница 2 страница 2
  • ГОСТ Р 56972-2016, страница 3 страница 3
  • ГОСТ Р 56972-2016, страница 4 страница 4
  • ГОСТ Р 56972-2016, страница 5 страница 5
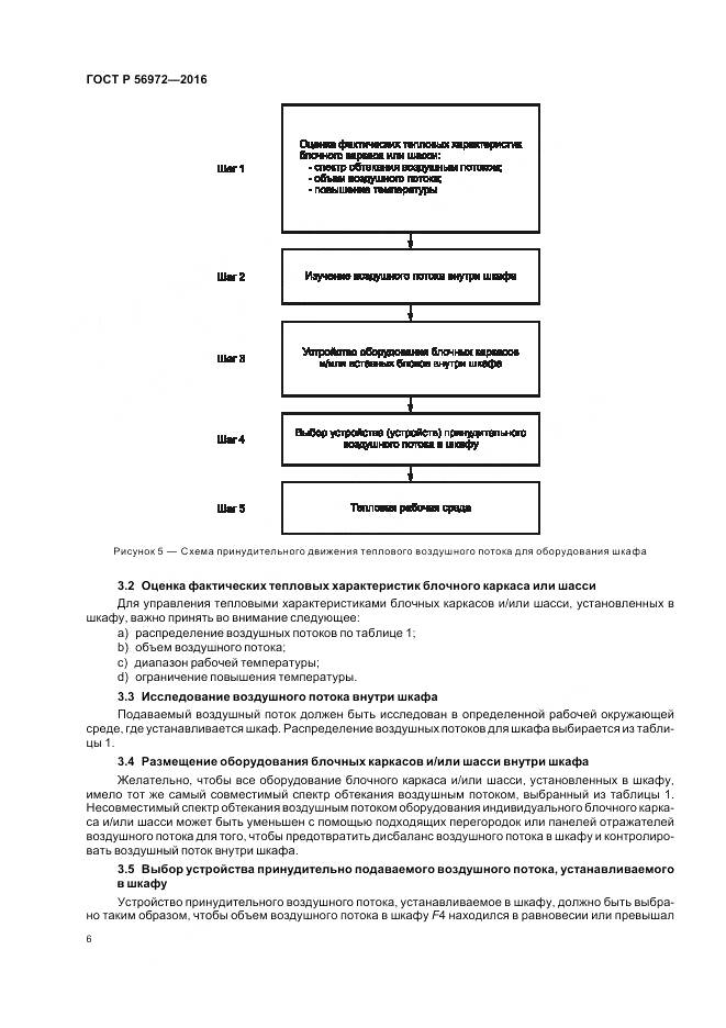
  • ГОСТ Р 56972-2016, страница 6 страница 6
  • ГОСТ Р 56972-2016, страница 7 страница 7
  • ГОСТ Р 56972-2016, страница 8 страница 8
  • ГОСТ Р 56972-2016, страница 9 страница 9
  • ГОСТ Р 56972-2016, страница 10 страница 10
  • ГОСТ Р 56972-2016, страница 11 страница 11
  • ГОСТ Р 56972-2016, страница 12 страница 12
  • ГОСТ Р 56972-2016, страница 13 страница 13
  • ГОСТ Р 56972-2016, страница 14 страница 14
  • ГОСТ Р 56972-2016, страница 15 страница 15
  • ГОСТ Р 56972-2016, страница 16 страница 16