ГОСТ Р МЭК 60921-2011 Устройства управления лампами. Аппараты пускорегулирующие для люминесцентных ламп. Требования к рабочим характеристикам

Категории ГОСТ Р МЭК 60921-2011 по ОКС:
Статус документа:
действует, введён в действие 01.01.2013
Название на английском языке:
Lamp controlgear. Ballasts for fluorescent lamps. Performance requirements
Дата актуализации информации по стандарту:
20.10.2025, в 12:48 (сегодня)
Вид стандарта:
временно не известен
Дата начала действия ГОСТа:
2013-01-01
Коды документа ГОСТ Р МЭК 60921-2011:
Код ОКП:
346170
Код КГС:
Е83
Число страниц:
24
Назначение ГОСТ Р МЭК 60921-2011:
Настоящий стандарт устанавливает требования к рабочим характеристикам пускорегулирующих аппаратов, кроме пускорегулирующих аппаратов резисторного типа, питаемых от источников переменного тока напряжением до 1000 В частотой 50 или 60 Гц, работающих с люминесцентными лампами с предварительным подогревом электродов, со стартером или без него, или с зажигающими устройствами, имеющими номинальные мощности, размеры и характеристики, указанные в стандартах МЭК 60081 и МЭК 60901. Стандарт распространяется на укомплектованные пускорегулирующих аппаратов и их компоненты: резисторы, трансформаторы и конденсаторы. Настоящий стандарт не распространяется на электронные пускорегулирующие аппараты переменного тока по МЭК 61347-2-3 для люминесцентных ламп, работающих на высокой частоте
Ключевые слова документа:
аппараты пускорегулирующие для люминесцентных ламп, испытания, рабочие характеристики, устройства управления лампами
Нормативные ссылки, связанные с ГОСТ Р МЭК 60921-2011:

Скачать ГОСТ Р МЭК 60921-2011 вы можете в следующих версиях:

В данный момент версий документа для скачивания не добавлено.

Мы стараемся пополнять базу документов еженедельно и из разных источников, в обозримом будущем версии для этого ГОСТа появятся.

Вы можете просмотреть online текст стандарта ГОСТ Р МЭК 60921-2011

Просмотреть текст ГОСТ Р МЭК 60921-2011

Текст стандарта

  • ГОСТ Р МЭК 60921-2011, страница 1 страница 1
  • ГОСТ Р МЭК 60921-2011, страница 2 страница 2
  • ГОСТ Р МЭК 60921-2011, страница 3 страница 3
  • ГОСТ Р МЭК 60921-2011, страница 4 страница 4
  • ГОСТ Р МЭК 60921-2011, страница 5 страница 5
  • ГОСТ Р МЭК 60921-2011, страница 6 страница 6
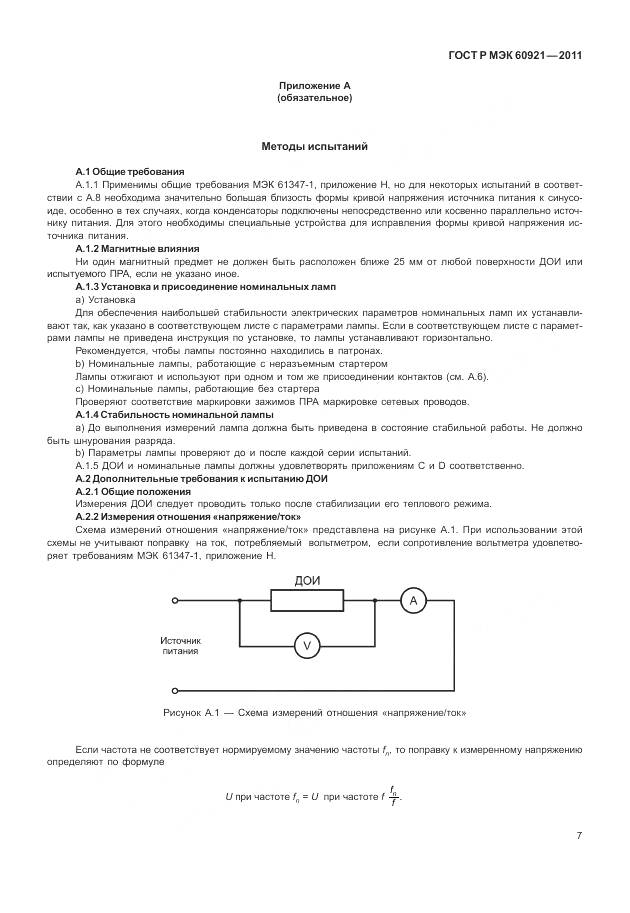
  • ГОСТ Р МЭК 60921-2011, страница 7 страница 7
  • ГОСТ Р МЭК 60921-2011, страница 8 страница 8
  • ГОСТ Р МЭК 60921-2011, страница 9 страница 9
  • ГОСТ Р МЭК 60921-2011, страница 10 страница 10
  • ГОСТ Р МЭК 60921-2011, страница 11 страница 11
  • ГОСТ Р МЭК 60921-2011, страница 12 страница 12
  • ГОСТ Р МЭК 60921-2011, страница 13 страница 13
  • ГОСТ Р МЭК 60921-2011, страница 14 страница 14
  • ГОСТ Р МЭК 60921-2011, страница 15 страница 15
  • ГОСТ Р МЭК 60921-2011, страница 16 страница 16
  • ГОСТ Р МЭК 60921-2011, страница 17 страница 17
  • ГОСТ Р МЭК 60921-2011, страница 18 страница 18
  • ГОСТ Р МЭК 60921-2011, страница 19 страница 19
  • ГОСТ Р МЭК 60921-2011, страница 20 страница 20
  • ГОСТ Р МЭК 60921-2011, страница 21 страница 21
  • ГОСТ Р МЭК 60921-2011, страница 22 страница 22
  • ГОСТ Р МЭК 60921-2011, страница 23 страница 23
  • ГОСТ Р МЭК 60921-2011, страница 24 страница 24