ГОСТ IEC 62127-1-2015 Государственная система обеспечения единства измерений. Параметры ультразвуковых полей. Общие требования к методам измерений и способам описания полей в частотном диапазоне от 0,5 до 40 МГц

Категории ГОСТ IEC 62127-1-2015 по ОКС:
Статус документа:
действует, введён в действие 01.07.2017
Название на английском языке:
State system for ensuring the uniformity of measurements. Parameters of ultrasonic fields. General requirements to measuring methods and characterization of fields in the frequency range 0,5 to 40 MHz
Дата актуализации информации по стандарту:
26.10.2025, в 23:28 (менее 3 месяцев назад)
Вид стандарта:
Стандарты на продукцию (услуги)
Дата начала действия ГОСТа:
2017-07-01
Дата последнего издания документа:
2016-09-22
Число страниц:
64
Назначение ГОСТ IEC 62127-1-2015:
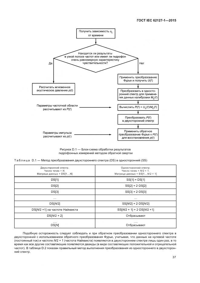
Настоящий стандарт распространяется на гидрофоны для измерений параметров ультразвукового поля, генерируемого в воде ультразвуковым медицинским оборудованием в диапазоне частот от 0,5 до 40 МГц, и устанавливает: - группу акустических параметров, которые могут быть измерены акустическими методами; - вторую группу параметров, значения которых могут быть вычислены по результатам этих измерений при определенных допущениях и называются вычисляемыми параметрами интенсивности; - условия, при которых могут быть измерены акустические параметры с помощью гидрофонов в частотном диапазоне до 40 МГц; - процедуры введения поправок и ограничений, связанных с использованием гидрофонов с ограниченной полосой частот и конечными размерами активного элемента
Документ разработан орг-ей:
Федеральное агентство по техническому регулированию и метрологии (Росстандарт)
Документ принят орг-ей:
Межгосударственный Совет по стандартизации метрологии и сертификации, протокол №83-П
Ключевые слова документа:
акустическое давление, интенсивность, медицинское диагностическое ультразвуковое оборудование, мощность ультразвука, ультразвуковой преобразователь, ультразвуковой пучок

Скачать ГОСТ IEC 62127-1-2015 вы можете в следующих версиях:

Тип файла:
Дата добавления:
Загрузок:
Размер:
Тип файла:
PDF с изображениями
Добавлен:
20/11/2025 15:26
Скачиваний:
24
Размер файла:
6.59 Мб
  • ГОСТ IEC 62127-1-2015, страница 1 страница 1
  • ГОСТ IEC 62127-1-2015, страница 2 страница 2
  • ГОСТ IEC 62127-1-2015, страница 3 страница 3
  • ГОСТ IEC 62127-1-2015, страница 4 страница 4
  • ГОСТ IEC 62127-1-2015, страница 5 страница 5
  • ГОСТ IEC 62127-1-2015, страница 6 страница 6
  • ГОСТ IEC 62127-1-2015, страница 7 страница 7
  • ГОСТ IEC 62127-1-2015, страница 8 страница 8
  • ГОСТ IEC 62127-1-2015, страница 9 страница 9
  • ГОСТ IEC 62127-1-2015, страница 10 страница 10
  • ГОСТ IEC 62127-1-2015, страница 11 страница 11
  • ГОСТ IEC 62127-1-2015, страница 12 страница 12
  • ГОСТ IEC 62127-1-2015, страница 13 страница 13
  • ГОСТ IEC 62127-1-2015, страница 14 страница 14
  • ГОСТ IEC 62127-1-2015, страница 15 страница 15
  • ГОСТ IEC 62127-1-2015, страница 16 страница 16
  • ГОСТ IEC 62127-1-2015, страница 17 страница 17
  • ГОСТ IEC 62127-1-2015, страница 18 страница 18
  • ГОСТ IEC 62127-1-2015, страница 19 страница 19
  • ГОСТ IEC 62127-1-2015, страница 20 страница 20
  • ГОСТ IEC 62127-1-2015, страница 21 страница 21
  • ГОСТ IEC 62127-1-2015, страница 22 страница 22
  • ГОСТ IEC 62127-1-2015, страница 23 страница 23
  • ГОСТ IEC 62127-1-2015, страница 24 страница 24
  • ГОСТ IEC 62127-1-2015, страница 25 страница 25
  • ГОСТ IEC 62127-1-2015, страница 26 страница 26
  • ГОСТ IEC 62127-1-2015, страница 27 страница 27
  • ГОСТ IEC 62127-1-2015, страница 28 страница 28
  • ГОСТ IEC 62127-1-2015, страница 29 страница 29
  • ГОСТ IEC 62127-1-2015, страница 30 страница 30
  • ГОСТ IEC 62127-1-2015, страница 31 страница 31
  • ГОСТ IEC 62127-1-2015, страница 32 страница 32
  • ГОСТ IEC 62127-1-2015, страница 33 страница 33
  • ГОСТ IEC 62127-1-2015, страница 34 страница 34
  • ГОСТ IEC 62127-1-2015, страница 35 страница 35
  • ГОСТ IEC 62127-1-2015, страница 36 страница 36
  • ГОСТ IEC 62127-1-2015, страница 37 страница 37
  • ГОСТ IEC 62127-1-2015, страница 38 страница 38
  • ГОСТ IEC 62127-1-2015, страница 39 страница 39
  • ГОСТ IEC 62127-1-2015, страница 40 страница 40
  • ГОСТ IEC 62127-1-2015, страница 41 страница 41
  • ГОСТ IEC 62127-1-2015, страница 42 страница 42
  • ГОСТ IEC 62127-1-2015, страница 43 страница 43
  • ГОСТ IEC 62127-1-2015, страница 44 страница 44
  • ГОСТ IEC 62127-1-2015, страница 45 страница 45
  • ГОСТ IEC 62127-1-2015, страница 46 страница 46
  • ГОСТ IEC 62127-1-2015, страница 47 страница 47
  • ГОСТ IEC 62127-1-2015, страница 48 страница 48
  • ГОСТ IEC 62127-1-2015, страница 49 страница 49
  • ГОСТ IEC 62127-1-2015, страница 50 страница 50
  • ГОСТ IEC 62127-1-2015, страница 51 страница 51
  • ГОСТ IEC 62127-1-2015, страница 52 страница 52
  • ГОСТ IEC 62127-1-2015, страница 53 страница 53
  • ГОСТ IEC 62127-1-2015, страница 54 страница 54
  • ГОСТ IEC 62127-1-2015, страница 55 страница 55
  • ГОСТ IEC 62127-1-2015, страница 56 страница 56
  • ГОСТ IEC 62127-1-2015, страница 57 страница 57
  • ГОСТ IEC 62127-1-2015, страница 58 страница 58
  • ГОСТ IEC 62127-1-2015, страница 59 страница 59
  • ГОСТ IEC 62127-1-2015, страница 60 страница 60
  • ГОСТ IEC 62127-1-2015, страница 61 страница 61
  • ГОСТ IEC 62127-1-2015, страница 62 страница 62
  • ГОСТ IEC 62127-1-2015, страница 63 страница 63
  • ГОСТ IEC 62127-1-2015, страница 64 страница 64