ГОСТ Р 70959-2023 Изделия коммутационные. Переключатели, выключатели. Классификация и система условных обозначений

Категории ГОСТ Р 70959-2023 по ОКС:
Статус документа:
действует, введён в действие 01.03.2024
Название на английском языке:
Switching products, switches, switches. Classification and system of designations
Дата актуализации информации по стандарту:
20.08.2025, в 08:48 (менее 3 месяцев назад)
Вид стандарта:
временно не известен
Дата начала действия ГОСТа:
2024-03-01
Число страниц:
8
Назначение ГОСТ Р 70959-2023:
не указано
Нормативные ссылки, связанные с ГОСТ Р 70959-2023:

Скачать ГОСТ Р 70959-2023 вы можете в следующих версиях:

В данный момент версий документа для скачивания не добавлено.

Мы стараемся пополнять базу документов еженедельно и из разных источников, в обозримом будущем версии для этого ГОСТа появятся.

Вы можете просмотреть online текст стандарта ГОСТ Р 70959-2023

Просмотреть текст ГОСТ Р 70959-2023

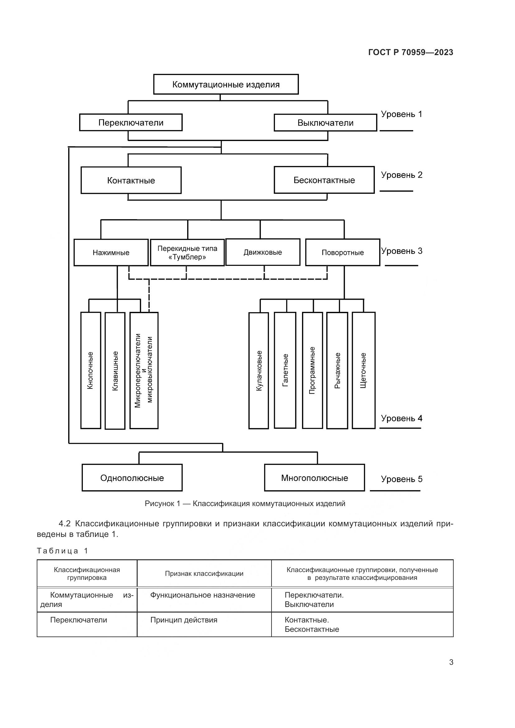
Текст стандарта

  • ГОСТ Р 70959-2023, страница 1 страница 1
  • ГОСТ Р 70959-2023, страница 2 страница 2
  • ГОСТ Р 70959-2023, страница 3 страница 3
  • ГОСТ Р 70959-2023, страница 4 страница 4
  • ГОСТ Р 70959-2023, страница 5 страница 5
  • ГОСТ Р 70959-2023, страница 6 страница 6
  • ГОСТ Р 70959-2023, страница 7 страница 7
  • ГОСТ Р 70959-2023, страница 8 страница 8