ГОСТ Р 71417-2024
ГОСТ Р 71417-2024 Приборы ферритовые сверхвысокочастотного диапазона. Метод измерения развязок трехплечных циркуляторов на высоком уровне мощности
Категории ГОСТ Р 71417-2024 по ОКС:- 29. Электротехника.
 - 29.100. Компоненты электрооборудования *электронные компоненты см. 31
 - 29.100.10 Магнитные компоненты
 
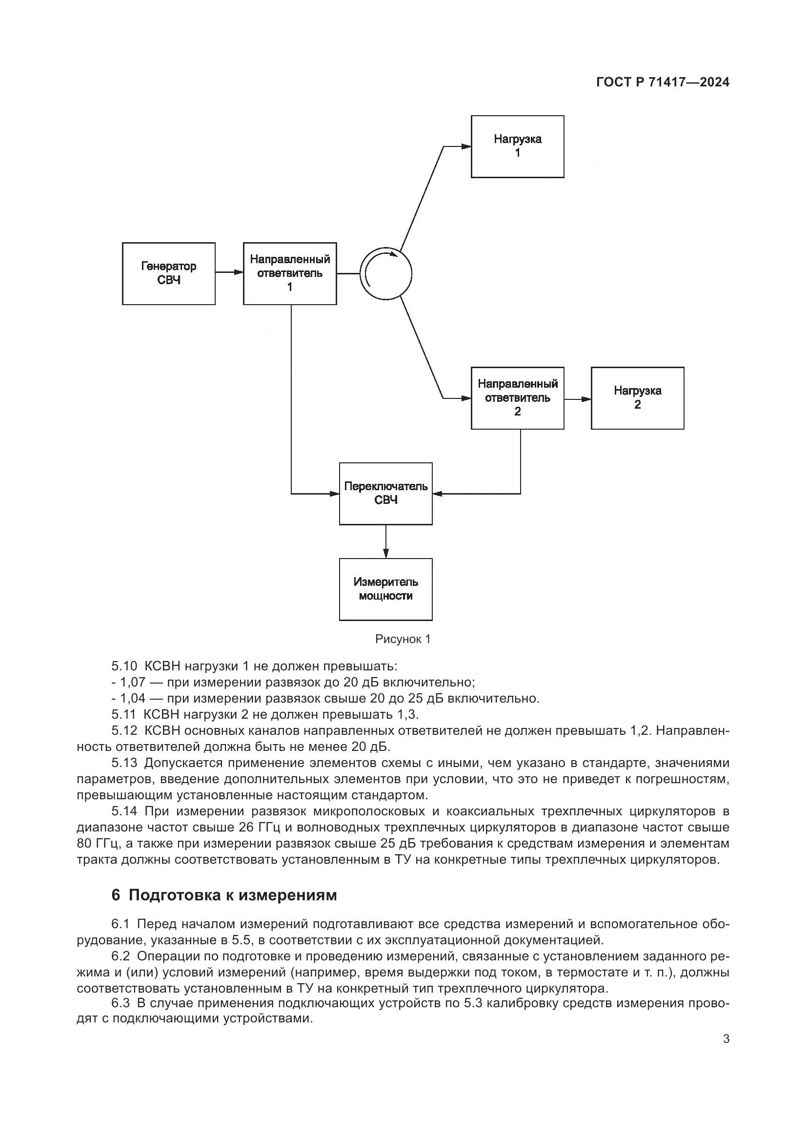
- Статус документа:
 - действует, введён в действие 01.03.2025
 
- Название на английском языке:
 - Microwave ferrite devices. Method of measurement of isolation of tree-port circulator at high power level
 
- Дата актуализации информации по стандарту:
 - 25.08.2025, в 13:15 (менее 3 месяцев назад)
 
- Вид стандарта:
 - временно не известен
 
- Дата начала действия ГОСТа:
 - 2025-03-01
 
- Число страниц:
 - 8
 
- Назначение ГОСТ Р 71417-2024:
 - не указано
 
                        Нормативные ссылки, связанные с ГОСТ Р 71417-2024:
                        
                            
                                
                            
                    
                        
                    
                    - Стандарт ссылается на ГОСТы:
 - ГОСТ 6709-72
 
Скачать ГОСТ Р 71417-2024 вы можете в следующих версиях:
В данный момент версий документа для скачивания не добавлено.
Мы стараемся пополнять базу документов еженедельно и из разных источников, в обозримом будущем версии для этого ГОСТа появятся.
Вы можете просмотреть online текст стандарта ГОСТ Р 71417-2024
Просмотреть текст ГОСТ Р 71417-2024Текст стандарта
- 
                            
                            страница 1
                         - 
                            
                            страница 2
                         - 
                            
                            страница 3
                         - 
                            
                            страница 4
                         - 
                            
                            страница 5
                         - 
                            
                            страница 6
                         - 
                            
                            страница 7
                         - 
                            
                            страница 8