ГОСТ Р 71502-2025 Ротанг. Изделия из ротанга. Общие требования

Категории ГОСТ Р 71502-2025 по ОКС:
Статус документа:
действует, введён в действие 01.06.2025
Название на английском языке:
Rattan. Rattan products. General requirements
Дата актуализации информации по стандарту:
16.10.2025, в 21:05 (менее месяца назад)
Вид стандарта:
временно не известен
Дата начала действия ГОСТа:
2025-06-01
Число страниц:
8
Назначение ГОСТ Р 71502-2025:
не указано
Нормативные ссылки, связанные с ГОСТ Р 71502-2025:

Скачать ГОСТ Р 71502-2025 вы можете в следующих версиях:

В данный момент версий документа для скачивания не добавлено.

Мы стараемся пополнять базу документов еженедельно и из разных источников, в обозримом будущем версии для этого ГОСТа появятся.

Вы можете просмотреть online текст стандарта ГОСТ Р 71502-2025

Просмотреть текст ГОСТ Р 71502-2025

Текст стандарта

  • ГОСТ Р 71502-2025, страница 1 страница 1
  • ГОСТ Р 71502-2025, страница 2 страница 2
  • ГОСТ Р 71502-2025, страница 3 страница 3
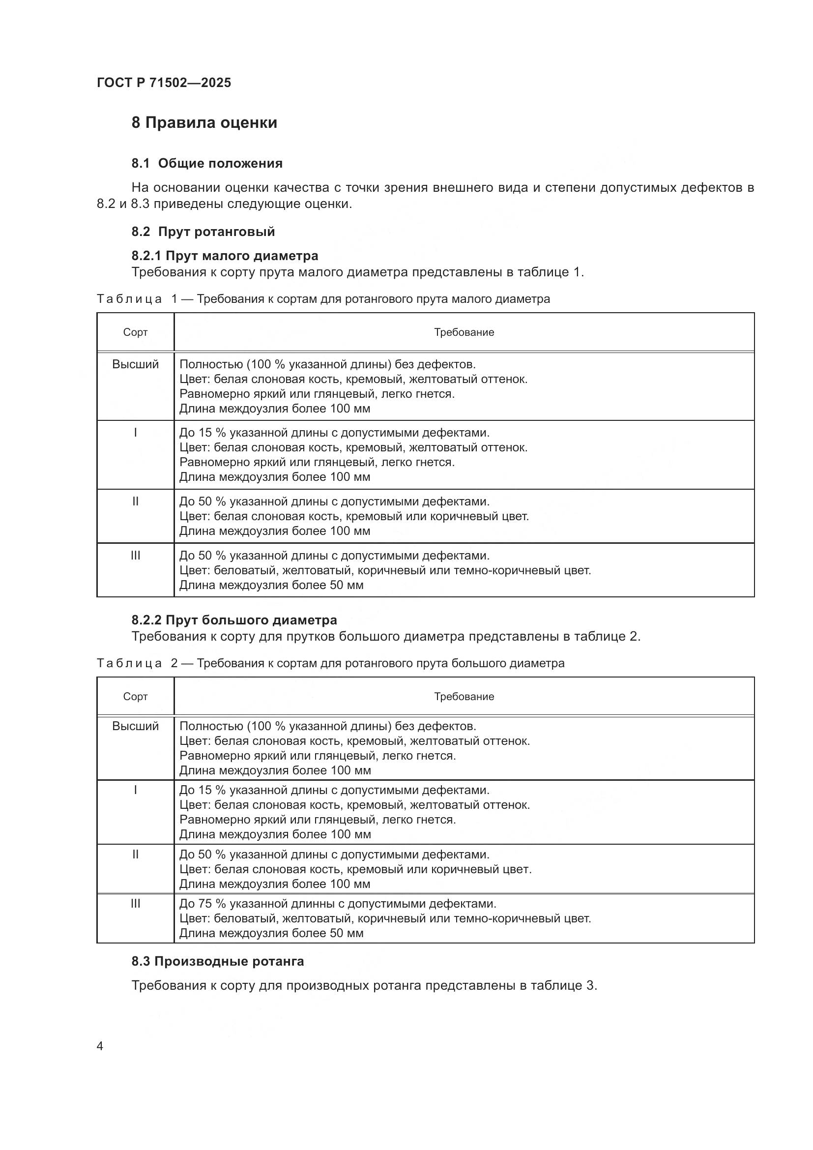
  • ГОСТ Р 71502-2025, страница 4 страница 4
  • ГОСТ Р 71502-2025, страница 5 страница 5
  • ГОСТ Р 71502-2025, страница 6 страница 6
  • ГОСТ Р 71502-2025, страница 7 страница 7
  • ГОСТ Р 71502-2025, страница 8 страница 8