ГОСТ Р 71798-2024
ГОСТ Р 71798-2024 Трубы из аустенитной хромоникелевой нержавеющей стали, сваренные электросваркой плавлением, для эксплуатации при высоких температурах, общего применения. Технические условия
Категории ГОСТ Р 71798-2024 по ОКС:- Статус документа:
- действует, введён в действие 01.09.2025
- Название на английском языке:
- Pipes of austenitic chromium-nickel stainless steel, welded by electric fusion welding, for high temperature service and general applications. Specification
- Дата актуализации информации по стандарту:
- 16.10.2025, в 21:05 (менее месяца назад)
- Вид стандарта:
- временно не известен
- Дата начала действия ГОСТа:
- 2025-09-01
- Число страниц:
- 28
- Назначение ГОСТ Р 71798-2024:
- не указано
                        Нормативные ссылки, связанные с ГОСТ Р 71798-2024:
                        
                            
                                
                            
                    
                        
                    
                    - Стандарт ссылается на ГОСТы:
- ГОСТ Р 12.1.019-2009
Скачать ГОСТ Р 71798-2024 вы можете в следующих версиях:
В данный момент версий документа для скачивания не добавлено.
Мы стараемся пополнять базу документов еженедельно и из разных источников, в обозримом будущем версии для этого ГОСТа появятся.
Вы можете просмотреть online текст стандарта ГОСТ Р 71798-2024
Просмотреть текст ГОСТ Р 71798-2024Текст стандарта
- 
                             страница 1 страница 1
- 
                             страница 2 страница 2
- 
                             страница 3 страница 3
- 
                             страница 4 страница 4
- 
                             страница 5 страница 5
- 
                             страница 6 страница 6
- 
                             страница 7 страница 7
- 
                             страница 8 страница 8
- 
                             страница 9 страница 9
- 
                             страница 10 страница 10
- 
                             страница 11 страница 11
- 
                             страница 12 страница 12
- 
                             страница 13 страница 13
- 
                             страница 14 страница 14
- 
                             страница 15 страница 15
- 
                             страница 16 страница 16
- 
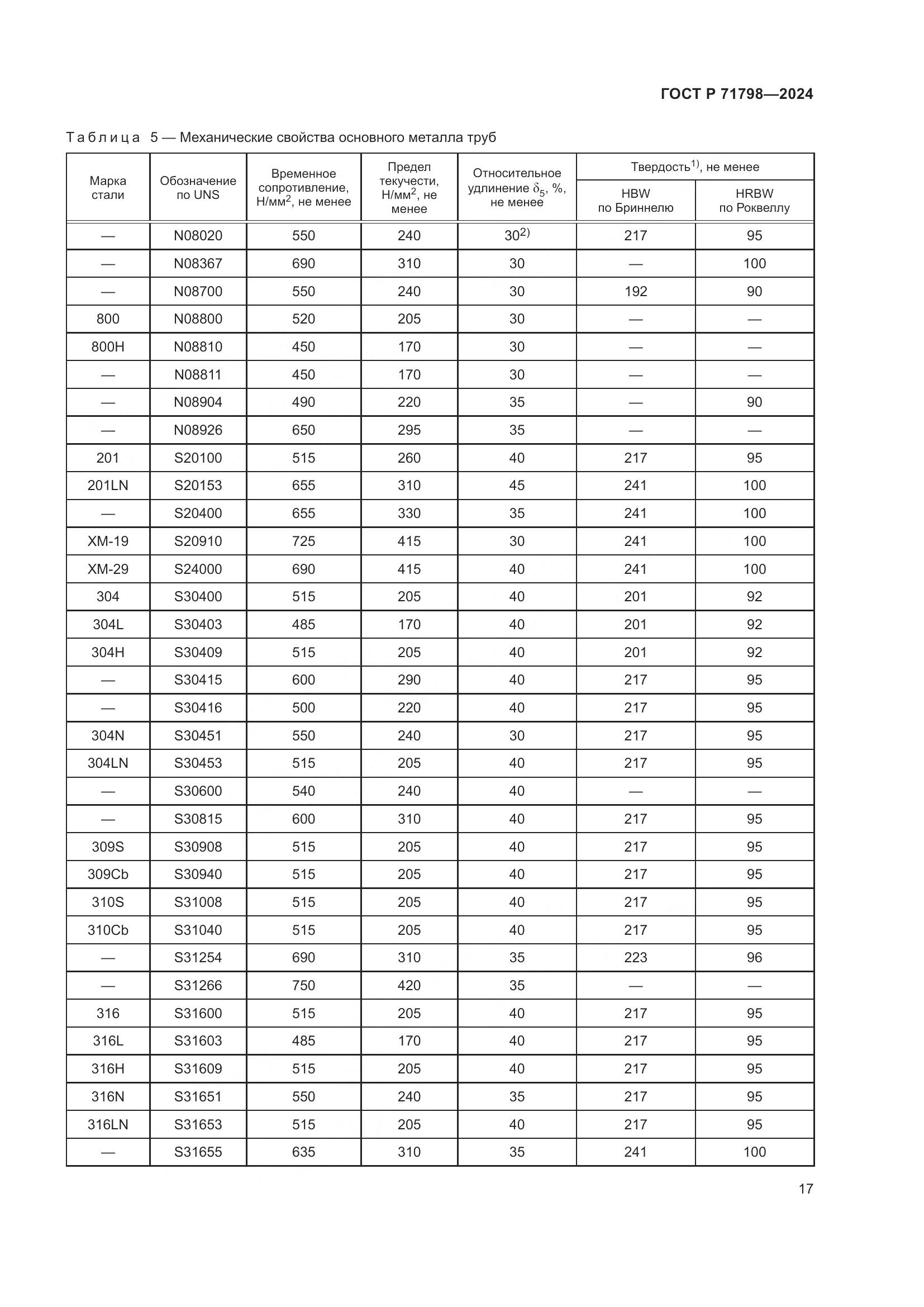
                             страница 17 страница 17
- 
                             страница 18 страница 18
- 
                             страница 19 страница 19
- 
                             страница 20 страница 20
- 
                             страница 21 страница 21
- 
                             страница 22 страница 22
- 
                             страница 23 страница 23
- 
                             страница 24 страница 24
- 
                             страница 25 страница 25
- 
                             страница 26 страница 26
- 
                             страница 27 страница 27
- 
                             страница 28 страница 28