ГОСТ Р 71979-2025 Системы автоматического контроля выбросов и сбросов. Системы автоматического контроля выбросов. Предиктивные системы. Общие положения

Категории ГОСТ Р 71979-2025 по ОКС:
Статус документа:
принят, введён в действие 01.03.2026
Название на английском языке:
Automatic emission and discharge control systems. Automatic emission control systems. Predictive systems. General provisions
Дата актуализации информации по стандарту:
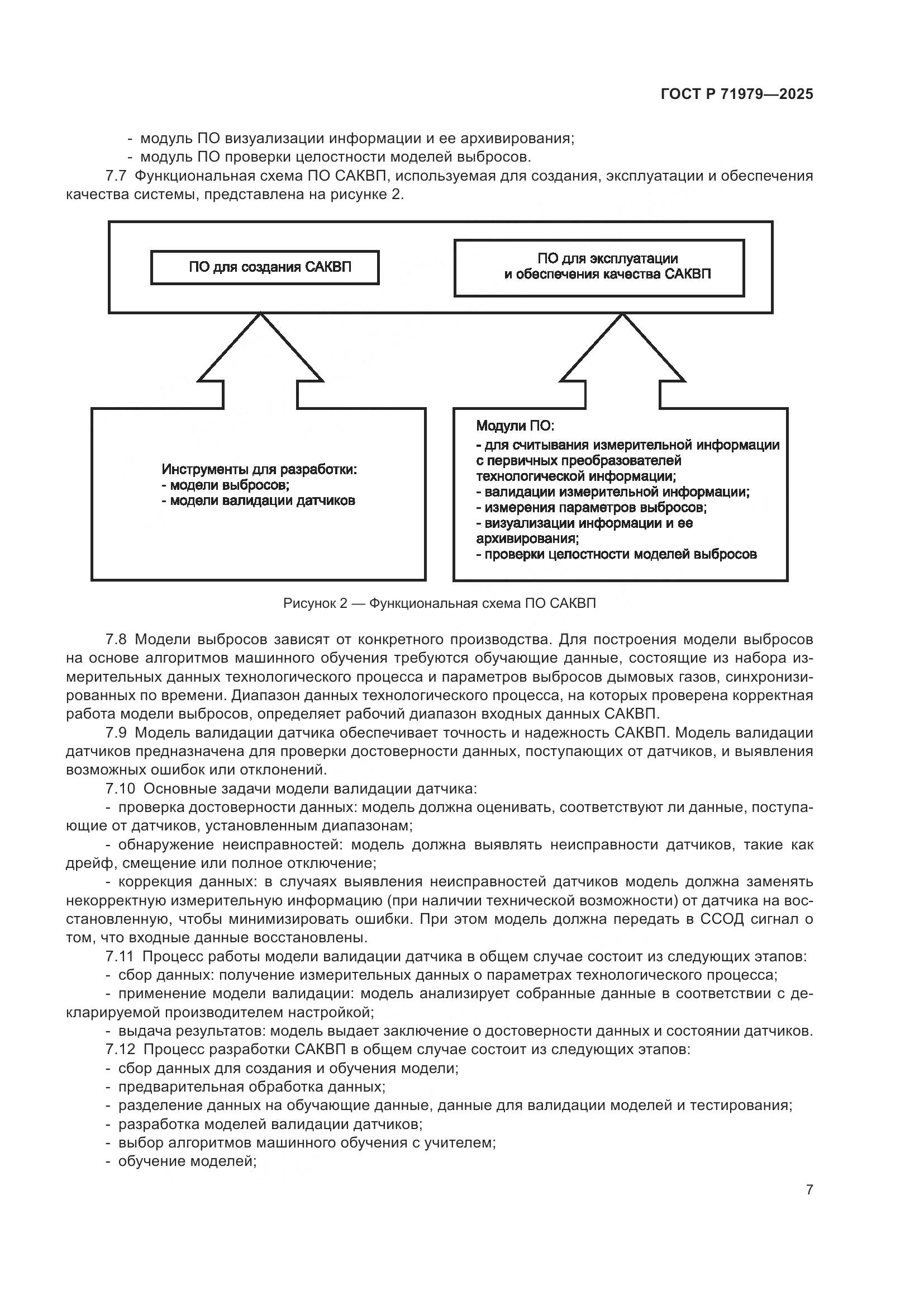
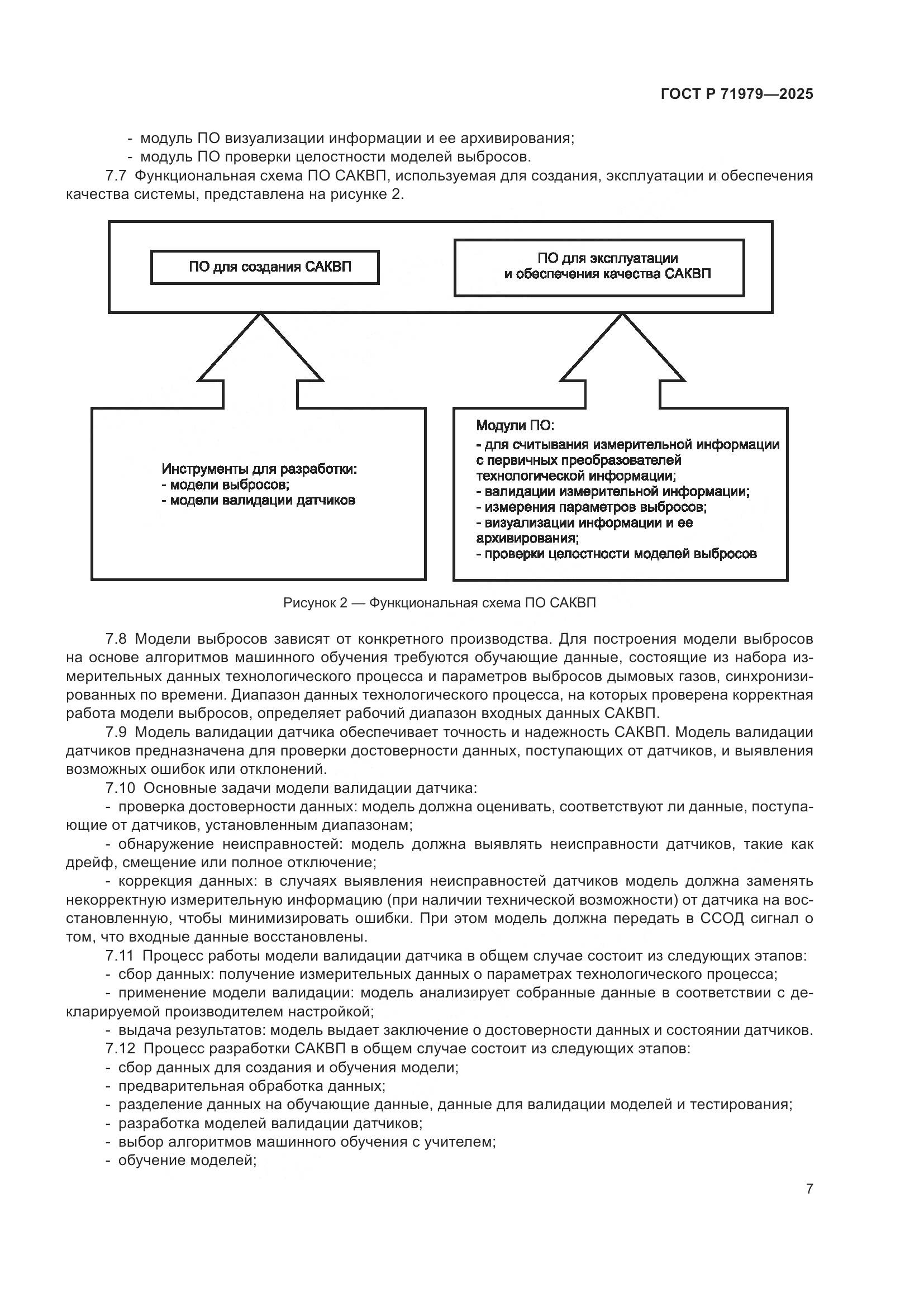
19.10.2025, в 15:11 (менее 3 месяцев назад)
Вид стандарта:
временно не известен
Дата начала действия ГОСТа:
2026-03-01
Число страниц:
12
Назначение ГОСТ Р 71979-2025:
не указано
Нормативные ссылки, связанные с ГОСТ Р 71979-2025:

Скачать ГОСТ Р 71979-2025 вы можете в следующих версиях:

Дата добавления:
Тип файла:
Загрузок:
Размер:
21/11/2025 10:22
PDF с изображениями
0
3.48 Мб

Текст стандарта

  • ГОСТ Р 71979-2025, страница 1 страница 1
  • ГОСТ Р 71979-2025, страница 2 страница 2
  • ГОСТ Р 71979-2025, страница 3 страница 3
  • ГОСТ Р 71979-2025, страница 4 страница 4
  • ГОСТ Р 71979-2025, страница 5 страница 5
  • ГОСТ Р 71979-2025, страница 6 страница 6
  • ГОСТ Р 71979-2025, страница 7 страница 7
  • ГОСТ Р 71979-2025, страница 8 страница 8
  • ГОСТ Р 71979-2025, страница 9 страница 9
  • ГОСТ Р 71979-2025, страница 10 страница 10
  • ГОСТ Р 71979-2025, страница 11 страница 11
  • ГОСТ Р 71979-2025, страница 12 страница 12