ГОСТ 7222-2014
ГОСТ 7222-2014 Проволока из золота, серебра и сплавов на их основе. Технические условия
Категории ГОСТ 7222-2014 по ОКС:- 77. Металлургия
- 77.150. Продукция из цветных металлов
- 77.150.99 Продукция из цветных металлов прочая
- Статус документа:
- действует, введён в действие 01.09.2015
- Название на английском языке:
- Wire made of gold, silver and their alloys. Specifications
- Дата актуализации информации по стандарту:
- 22.10.2025, в 12:46 (менее 3 месяцев назад)
- Вид стандарта:
- Основополагающие стандарты
- Дата начала действия ГОСТа:
- 2015-09-01
- Дата последнего издания документа:
- 2015-03-02
Коды документа ГОСТ 7222-2014:
- Код КГС:
- В59
- Число страниц:
- 12
- Назначение ГОСТ 7222-2014:
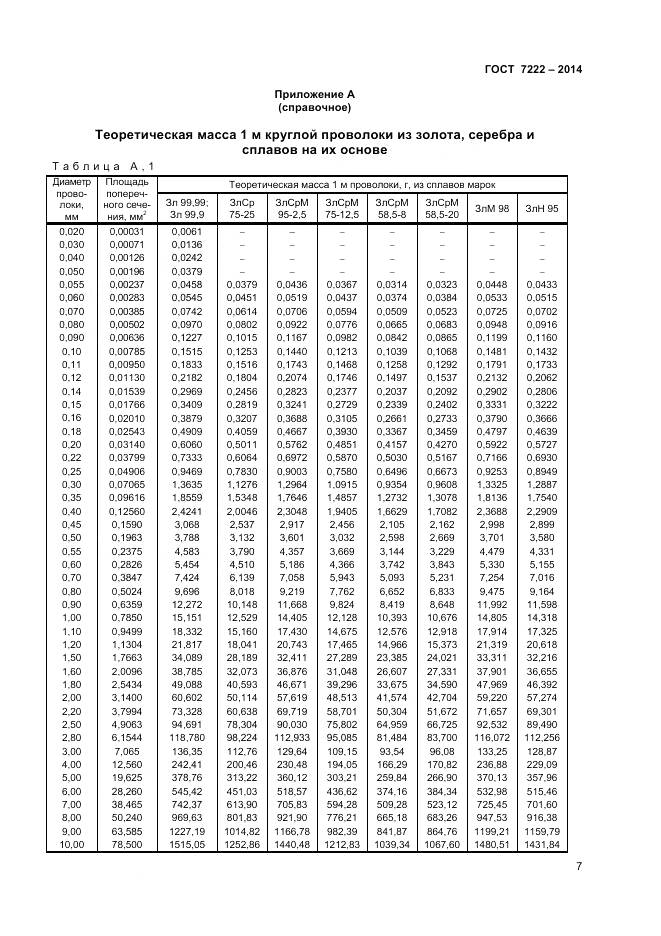
- Настоящий стандарт распространяется на холоднотянутую проволоку из золота, серебра и сплавов на их основе технического назначения, а также для ювелирного производства
- Документ разработан орг-ей:
- Федеральное агентство по техническому регулированию и метрологии (Росстандарт)
- Документ принят орг-ей:
- Межгосударственный Совет по стандартизации метрологии и сертификации, протокол №67-П
- Ключевые слова документа:
- гарантии изготовителя, золото, методы контроля, проволока, свойства, серебро, сплавы, транспортирование, упаковка, хранение
Нормативные ссылки, связанные с ГОСТ 7222-2014:
- Стандарт ссылается на ГОСТы:
- ГОСТ Р 53372-2009, ГОСТ Р 53228-2008, ГОСТ Р 52599-2006, ГОСТ 22864-83, ГОСТ 17235-71, ГОСТ 27973.0-88, ГОСТ 27973.1-88, ГОСТ 27973.2-88, ГОСТ 28353.0-89, ГОСТ 28353.1-89, ГОСТ 28353.2-89, ГОСТ 28353.3-89, ГОСТ 6835-2002, ГОСТ 6836-2002, ГОСТ 24104-2001, ГОСТ 28798-90, ГОСТ 29329-92, ГОСТ 27973-3-88, ГОСТ 12562.1-82, ГОСТ 14192-96, ГОСТ 8273-75, ГОСТ 12555.1-83, ГОСТ 12555.2-83, ГОСТ 12558.1-78, ГОСТ 12558.2-78, ГОСТ 12561.1-78, ГОСТ 12561.2-78, ГОСТ 15150-69, ГОСТ 12562.2-82, ГОСТ 12563.1-83, ГОСТ 12563.2-83, ГОСТ 12564.1-83, ГОСТ 12564.2-83, ГОСТ 16321.1-70, ГОСТ 16321.2-70, ГОСТ 17234-71
Скачать ГОСТ 7222-2014 вы можете в следующих версиях:
Тип файла:
Дата добавления:
Загрузок:
Размер:
Ссылка на скачивание:
Добавлен:
20/11/2025 16:11
Скачиваний:
14
Размер файла:
1.1 Мб
Ссылка для скачивания:
-
страница 1
-
страница 2
-
страница 3
-
страница 4
-
страница 5
-
страница 6
-
страница 7
-
страница 8
-
страница 9
-
страница 10
-
страница 11
-
страница 12