ГОСТ Р 72325-2025
ГОСТ Р 72325-2025 Цифровая станкоинструментальная промышленность. Автоматизированная система мониторинга технологического оборудования. Общие положения
Категории ГОСТ Р 72325-2025 по ОКС:- 25. Машиностроение
- 25.40. Пром-ые автомат-ые системы
- 25.40.20 Станки с числовым программным управлением
- 35. Информационные технологии. Машины конторские.
- 35.240. Применение информационных технологий.
- 35.240.99 Применение информационных технологий в других областях *включая электронное обучение
- Статус документа:
- принят, введён в действие 01.01.2026
- Название на английском языке:
- Digital machine tool industry. Automated system for process equipment monitoring. General points
- Дата актуализации информации по стандарту:
- 16.12.2025, в 11:02 (менее 3 месяцев назад)
- Вид стандарта:
- временно не известен
- Дата начала действия ГОСТа:
- 2026-01-01
- Число страниц:
- 12
- Назначение ГОСТ Р 72325-2025:
- не указано
Нормативные ссылки, связанные с ГОСТ Р 72325-2025:
- Стандарт ссылается на ГОСТы:
- ГОСТ Р 12.4.026-2001
Скачать ГОСТ Р 72325-2025 вы можете в следующих версиях:
Тип файла:
Дата добавления:
Загрузок:
Размер:
Ссылка на скачивание:
Добавлен:
16/12/2025 16:02
Скачиваний:
27
Размер файла:
3.55 Мб
Ссылка для скачивания:
-
страница 1
-
страница 2
-
страница 3
-
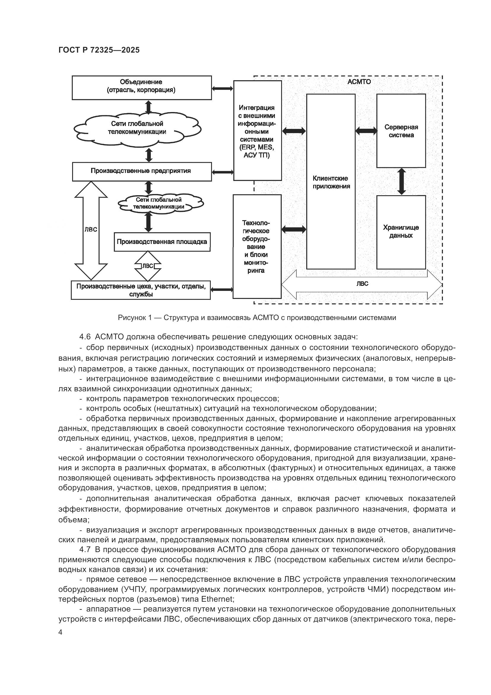
страница 4
-
страница 5
-
страница 6
-
страница 7
-
страница 8
-
страница 9
-
страница 10
-
страница 11
-
страница 12