ГОСТ 7619-2023 Шпат плавиковый. Методы физико-химического анализа

Категории ГОСТ 7619-2023 по ОКС:
Статус документа:
действует, введён в действие 01.11.2023
Название на английском языке:
Fluorite. Methods of physicochemical analysis
Дата актуализации информации по стандарту:
19.08.2025, в 11:29 (менее 3 месяцев назад)
Вид стандарта:
временно не известен
Дата начала действия ГОСТа:
2023-11-01
Дата последнего издания документа:
2023-07-05
Число страниц:
54
Назначение ГОСТ 7619-2023:
Настоящий стандарт распространяется на шпат плавиковый и устанавливает общие требования к методам химического анализа и методу определения гранулометрического состава
Документ принят орг-ей:
Межгосударственный Совет по стандартизации метрологии и сертификации, протокол №162-П
Ключевые слова документа:
метод определения влаги, метод определения гранулометрического состава, метод определения диоксида кремния, метод определения карбоната кальция, метод определения металлических оксидов Ме2О3, метод определения серы (общей), метод определения содержания оксида бария, метод определения содержания оксида магния, метод определения содержания оксида стронция, метод определения флотационных реагентов, метод определения фосфора, метод определения фторида кальция, методы определения железа, методы определения серы (сульфидной), шпат плавиковый

Скачать ГОСТ 7619-2023 вы можете в следующих версиях:

В данный момент версий документа для скачивания не добавлено.

Мы стараемся пополнять базу документов еженедельно и из разных источников, в обозримом будущем версии для этого ГОСТа появятся.

Вы можете просмотреть online текст стандарта ГОСТ 7619-2023

Просмотреть текст ГОСТ 7619-2023

Текст стандарта

  • ГОСТ 7619-2023, страница 1 страница 1
  • ГОСТ 7619-2023, страница 2 страница 2
  • ГОСТ 7619-2023, страница 3 страница 3
  • ГОСТ 7619-2023, страница 4 страница 4
  • ГОСТ 7619-2023, страница 5 страница 5
  • ГОСТ 7619-2023, страница 6 страница 6
  • ГОСТ 7619-2023, страница 7 страница 7
  • ГОСТ 7619-2023, страница 8 страница 8
  • ГОСТ 7619-2023, страница 9 страница 9
  • ГОСТ 7619-2023, страница 10 страница 10
  • ГОСТ 7619-2023, страница 11 страница 11
  • ГОСТ 7619-2023, страница 12 страница 12
  • ГОСТ 7619-2023, страница 13 страница 13
  • ГОСТ 7619-2023, страница 14 страница 14
  • ГОСТ 7619-2023, страница 15 страница 15
  • ГОСТ 7619-2023, страница 16 страница 16
  • ГОСТ 7619-2023, страница 17 страница 17
  • ГОСТ 7619-2023, страница 18 страница 18
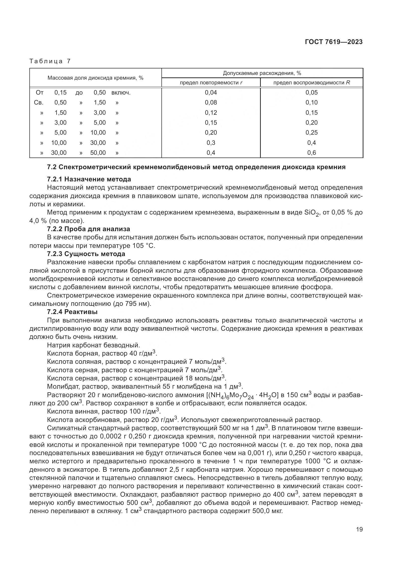
  • ГОСТ 7619-2023, страница 19 страница 19
  • ГОСТ 7619-2023, страница 20 страница 20
  • ГОСТ 7619-2023, страница 21 страница 21
  • ГОСТ 7619-2023, страница 22 страница 22
  • ГОСТ 7619-2023, страница 23 страница 23
  • ГОСТ 7619-2023, страница 24 страница 24
  • ГОСТ 7619-2023, страница 25 страница 25
  • ГОСТ 7619-2023, страница 26 страница 26
  • ГОСТ 7619-2023, страница 27 страница 27
  • ГОСТ 7619-2023, страница 28 страница 28
  • ГОСТ 7619-2023, страница 29 страница 29
  • ГОСТ 7619-2023, страница 30 страница 30
  • ГОСТ 7619-2023, страница 31 страница 31
  • ГОСТ 7619-2023, страница 32 страница 32
  • ГОСТ 7619-2023, страница 33 страница 33
  • ГОСТ 7619-2023, страница 34 страница 34
  • ГОСТ 7619-2023, страница 35 страница 35
  • ГОСТ 7619-2023, страница 36 страница 36
  • ГОСТ 7619-2023, страница 37 страница 37
  • ГОСТ 7619-2023, страница 38 страница 38
  • ГОСТ 7619-2023, страница 39 страница 39
  • ГОСТ 7619-2023, страница 40 страница 40
  • ГОСТ 7619-2023, страница 41 страница 41
  • ГОСТ 7619-2023, страница 42 страница 42
  • ГОСТ 7619-2023, страница 43 страница 43
  • ГОСТ 7619-2023, страница 44 страница 44
  • ГОСТ 7619-2023, страница 45 страница 45
  • ГОСТ 7619-2023, страница 46 страница 46
  • ГОСТ 7619-2023, страница 47 страница 47
  • ГОСТ 7619-2023, страница 48 страница 48
  • ГОСТ 7619-2023, страница 49 страница 49
  • ГОСТ 7619-2023, страница 50 страница 50
  • ГОСТ 7619-2023, страница 51 страница 51
  • ГОСТ 7619-2023, страница 52 страница 52
  • ГОСТ 7619-2023, страница 53 страница 53
  • ГОСТ 7619-2023, страница 54 страница 54