ГОСТ 9705-2025
ГОСТ 9705-2025 Кожа лаковая для верха обуви. Технические условия
Категории ГОСТ 9705-2025 по ОКС:- 59. Текстиль и кожа
- 59.140. Технология производства кожи *включая мех и искусственную кожу *обувь см. 61.060 *швейные машины и машины для изготовления обуви см.61.080
- 59.140.30 Кожи и меха
- Статус документа:
- принят, введён в действие 02.02.2026
- Название на английском языке:
- Enamelled shoe leather. Specifications
- Дата актуализации информации по стандарту:
- 16.01.2026, в 08:55 (несколько дней назад)
- Вид стандарта:
- временно не известен
- Дата начала действия ГОСТа:
- 2026-02-02
- Дата последнего издания документа:
- 2025-08-21
- Число страниц:
- 16
- Назначение ГОСТ 9705-2025:
- Настоящий стандарт распространяется на кожу для верха обуви из шкур животных, отделанную путем нанесения на лицевую поверхность кожи лаковой композиции на основе полиуретановых смол (далее – кожа)
- Документ разработан орг-ей:
- Федеральное агентство по техническому регулированию и метрологии (Росстандарт)
- Документ принят орг-ей:
- Межгосударственный Совет по стандартизации метрологии и сертификации, протокол №187-П
- Ключевые слова документа:
- дубление, кожа лаковая для верха обуви, лаковое покрытие, маркировка, методы испытаний, транспортирование, упаковка, физико-механические показатели, химические показатели, хранение
Нормативные ссылки, связанные с ГОСТ 9705-2025:
- Стандарт ссылается на ГОСТы:
- ГОСТ ISO 3377-2, ГОСТ ISO 2419, ГОСТ ISO 2418, ГОСТ ISO 17070, ГОСТ ISO 17234-2, ГОСТ ISO 17234-1, ГОСТ ISO 17075-2, ГОСТ ISO 17075-1, ГОСТ ISO 4045, ГОСТ ISO 3376, ГОСТ ISO 2589, ГОСТ ISO 17226-2, ГОСТ ISO 17226-1, ГОСТ ISO 11644, ГОСТ ISO 5402-1, ГОСТ 28425, ГОСТ 382-91, ГОСТ 1023, ГОСТ 938.25, ГОСТ 938.15, ГОСТ 938.14, ГОСТ 938.13, ГОСТ 938.12, ГОСТ 938.5, ГОСТ 938.3, ГОСТ 938.1, ГОСТ 15.007, ГОСТ 938.0, ГОСТ 3123, ГОСТ 938.11
Скачать ГОСТ 9705-2025 вы можете в следующих версиях:
Тип файла:
Дата добавления:
Загрузок:
Размер:
Ссылка на скачивание:
Добавлен:
21/11/2025 10:26
Скачиваний:
33
Размер файла:
3.64 Мб
Ссылка для скачивания:
-
страница 1
-
страница 2
-
страница 3
-
страница 4
-
страница 5
-
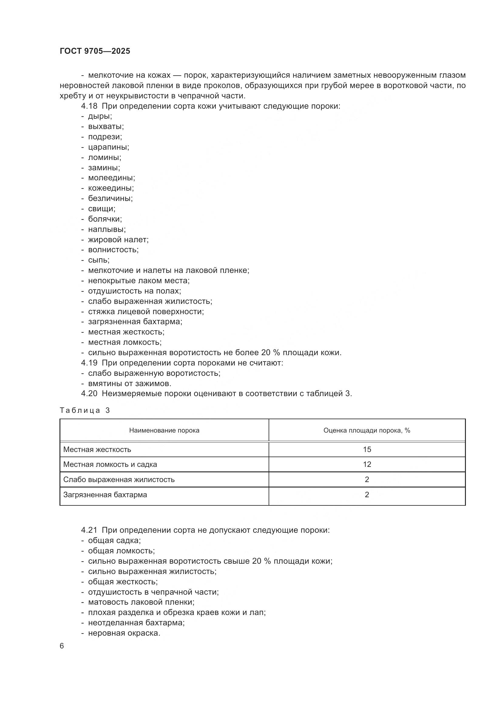
страница 6
-
страница 7
-
страница 8
-
страница 9
-
страница 10
-
страница 11
-
страница 12
-
страница 13
-
страница 14
-
страница 15
-
страница 16