ГОСТ 33276-2015 Продукция соковая. Методы определения относительной плотности

Категории ГОСТ 33276-2015 по ОКС:
Статус документа:
действует, введён в действие 01.01.2017
Название на английском языке:
Juice products. Methods for determination of relative density
Дата актуализации информации по стандарту:
23.10.2025, в 11:30 (менее месяца назад)
Вид стандарта:
Стандарты на методы контроля
Дата начала действия ГОСТа:
2017-01-01
Дата последнего издания документа:
2016-02-18
Коды документа ГОСТ 33276-2015:
Код КГС:
Н69
Число страниц:
24
Назначение ГОСТ 33276-2015:
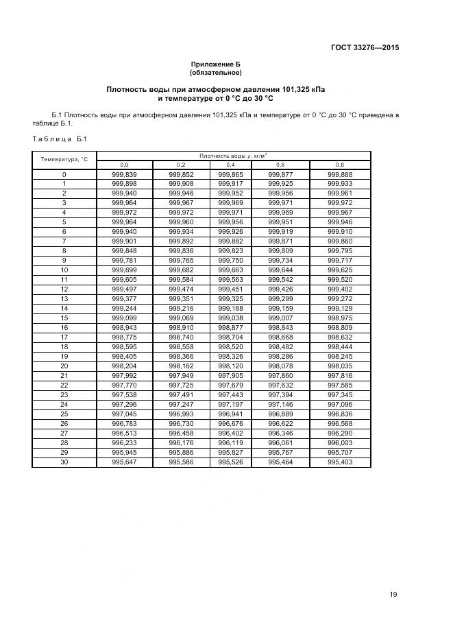
Настоящий стандарт распространяется на фруктовые и овощные соки, нектары, сокосодержащие напитки, фруктовые и овощные концентрированные соки, пюре и концентрированные пюре, морсы и концентрированные морсы (далее - соковая продукция) и устанавливает: - пикнометрический метод определения (измерения) относительной плотности d в диапазоне от 1,0000 до 1,4000 и определения массовой доли растворимых сухих веществ в диапазоне от 0,2 % до 80,0 % на основе полученных измерений; - метод определения (измерения) плотности с помощью цифрового плотномера в диапазоне от 1,0000 г/см куб (1000 кг/м куб) до 1,4000 г/см куб (1400 кг/м куб)
Документ разработан орг-ей:
Федеральное агентство по техническому регулированию и метрологии (Росстандарт)
Документ принят орг-ей:
Межгосударственный Совет по стандартизации метрологии и сертификации, протокол №47-2015
Ключевые слова документа:
измерение, относительная плотность, пикнометр, плотномер, плотность, растворимые сухие вещества, соковая продукция

Скачать ГОСТ 33276-2015 вы можете в следующих версиях:

В данный момент версий документа для скачивания не добавлено.

Мы стараемся пополнять базу документов еженедельно и из разных источников, в обозримом будущем версии для этого ГОСТа появятся.

Вы можете просмотреть online текст стандарта ГОСТ 33276-2015

Просмотреть текст ГОСТ 33276-2015

Текст стандарта

  • ГОСТ 33276-2015, страница 1 страница 1
  • ГОСТ 33276-2015, страница 2 страница 2
  • ГОСТ 33276-2015, страница 3 страница 3
  • ГОСТ 33276-2015, страница 4 страница 4
  • ГОСТ 33276-2015, страница 5 страница 5
  • ГОСТ 33276-2015, страница 6 страница 6
  • ГОСТ 33276-2015, страница 7 страница 7
  • ГОСТ 33276-2015, страница 8 страница 8
  • ГОСТ 33276-2015, страница 9 страница 9
  • ГОСТ 33276-2015, страница 10 страница 10
  • ГОСТ 33276-2015, страница 11 страница 11
  • ГОСТ 33276-2015, страница 12 страница 12
  • ГОСТ 33276-2015, страница 13 страница 13
  • ГОСТ 33276-2015, страница 14 страница 14
  • ГОСТ 33276-2015, страница 15 страница 15
  • ГОСТ 33276-2015, страница 16 страница 16
  • ГОСТ 33276-2015, страница 17 страница 17
  • ГОСТ 33276-2015, страница 18 страница 18
  • ГОСТ 33276-2015, страница 19 страница 19
  • ГОСТ 33276-2015, страница 20 страница 20
  • ГОСТ 33276-2015, страница 21 страница 21
  • ГОСТ 33276-2015, страница 22 страница 22
  • ГОСТ 33276-2015, страница 23 страница 23
  • ГОСТ 33276-2015, страница 24 страница 24