ГОСТ 32690-2014 Продукция соковая. Определение пестицидов методом тандемной высокоэффективной жидкостной хроматомасс-спектрометрии (ВЭЖХ-МС/МС)

Категории ГОСТ 32690-2014 по ОКС:
Статус документа:
действует, введён в действие 01.01.2016
Название на английском языке:
Juices and Juice Products. Determination of pesticides by tandem high performance liquid mass spectrometry (HPLC-MS/MS)
Дата актуализации информации по стандарту:
22.10.2025, в 12:51 (менее 3 месяцев назад)
Вид стандарта:
Стандарты на методы контроля
Дата начала действия ГОСТа:
2016-01-01
Дата последнего издания документа:
2015-03-16
Число страниц:
42
Назначение ГОСТ 32690-2014:
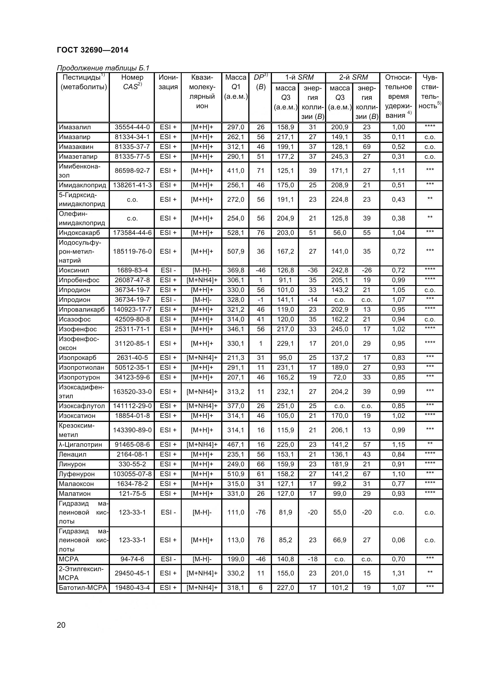
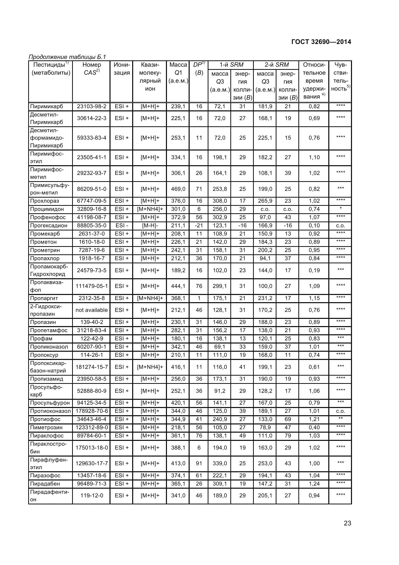
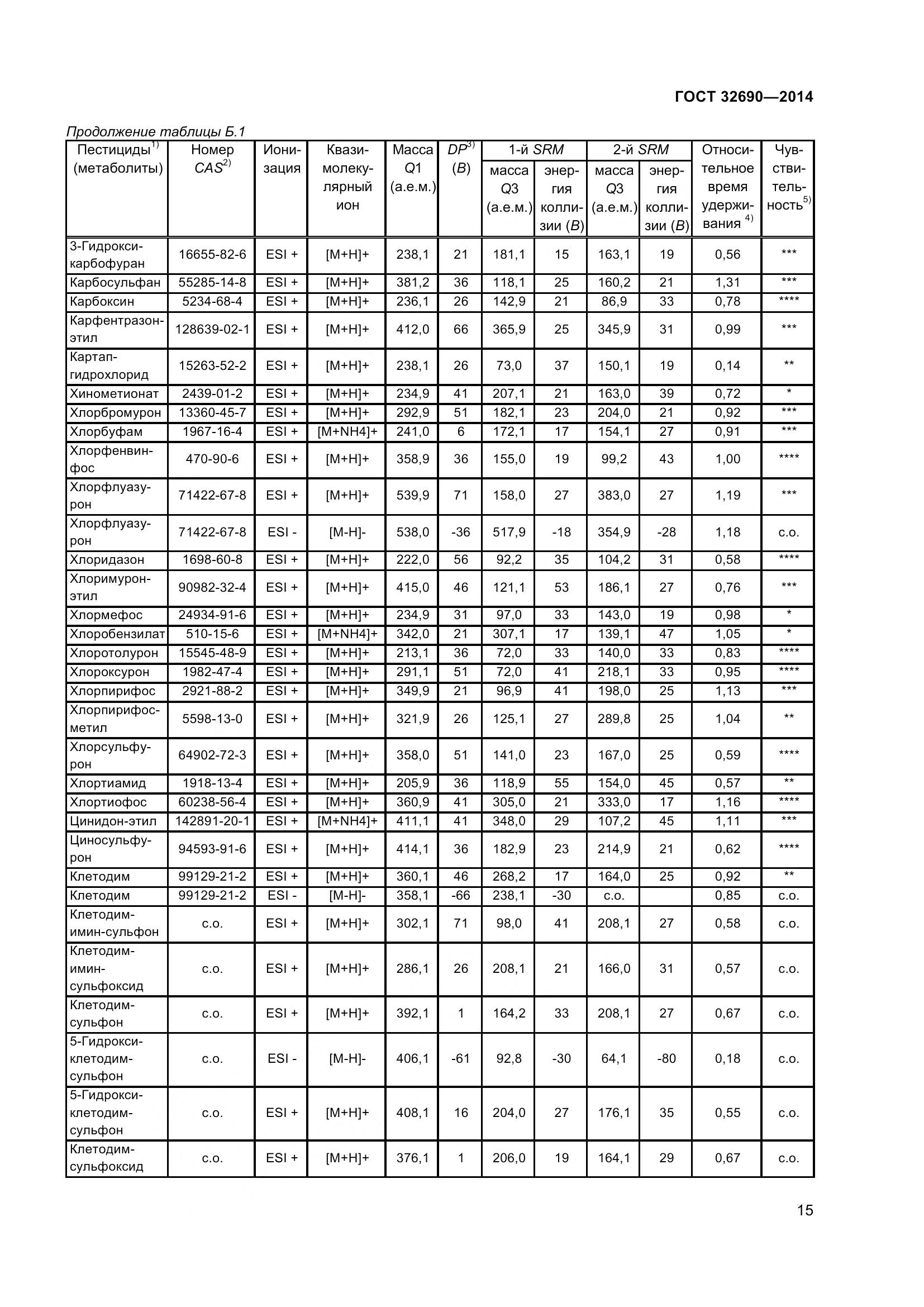
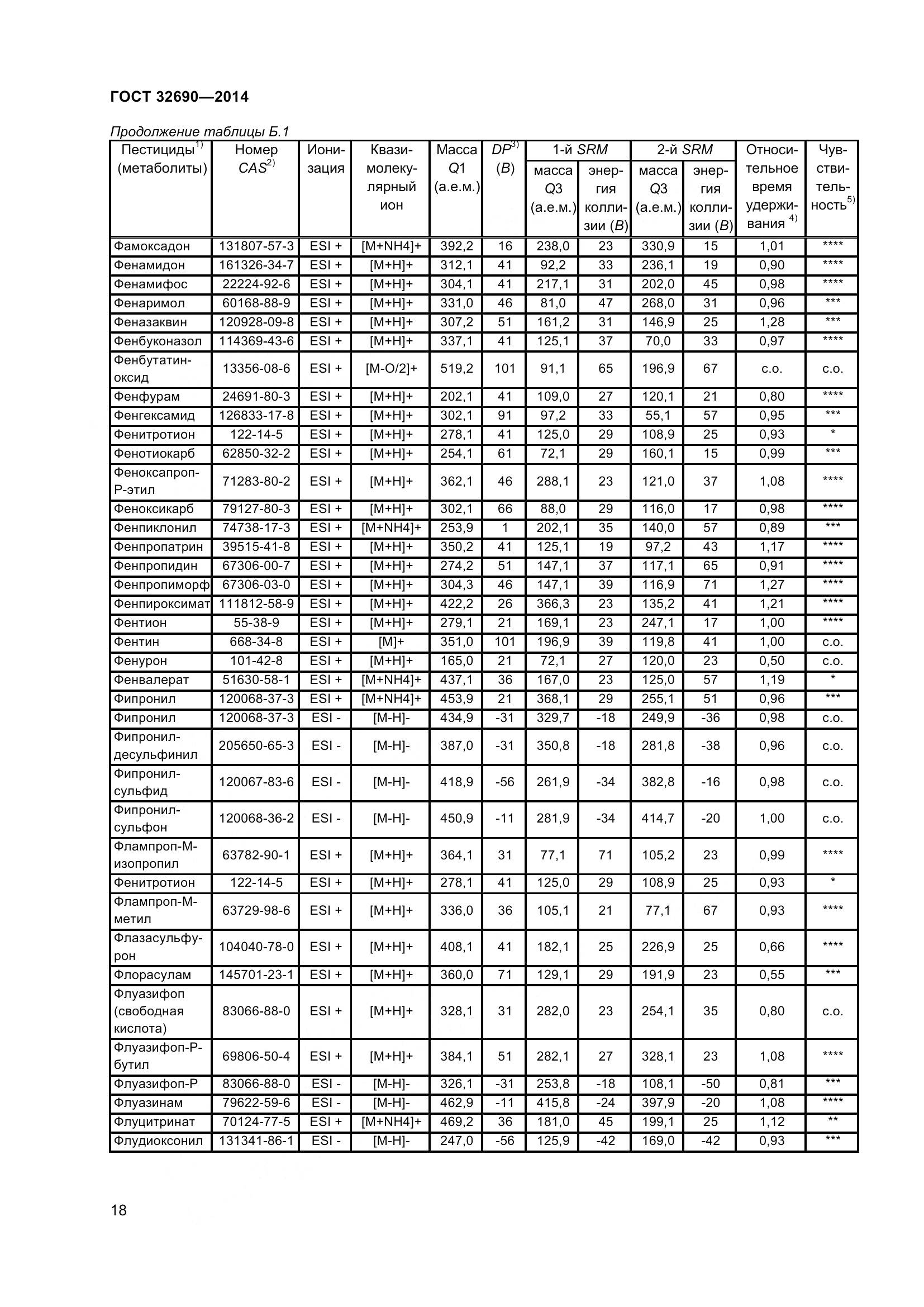
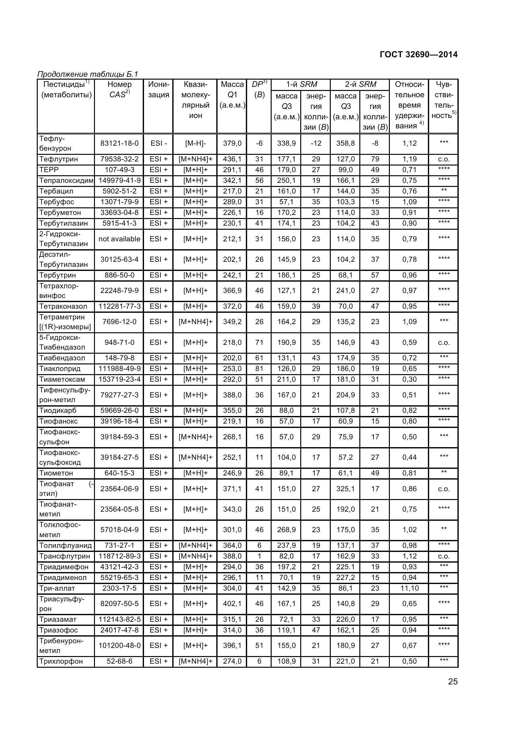
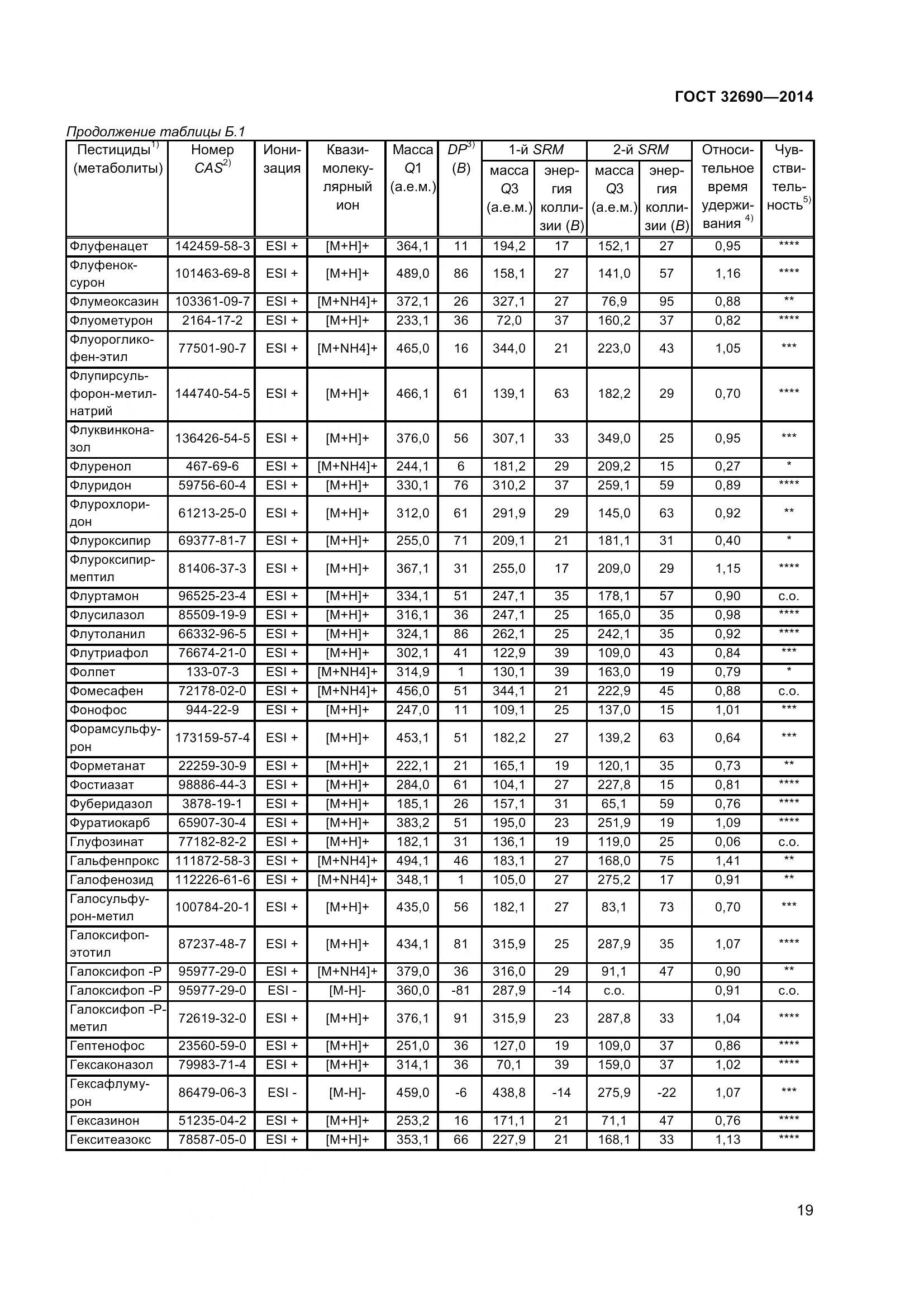
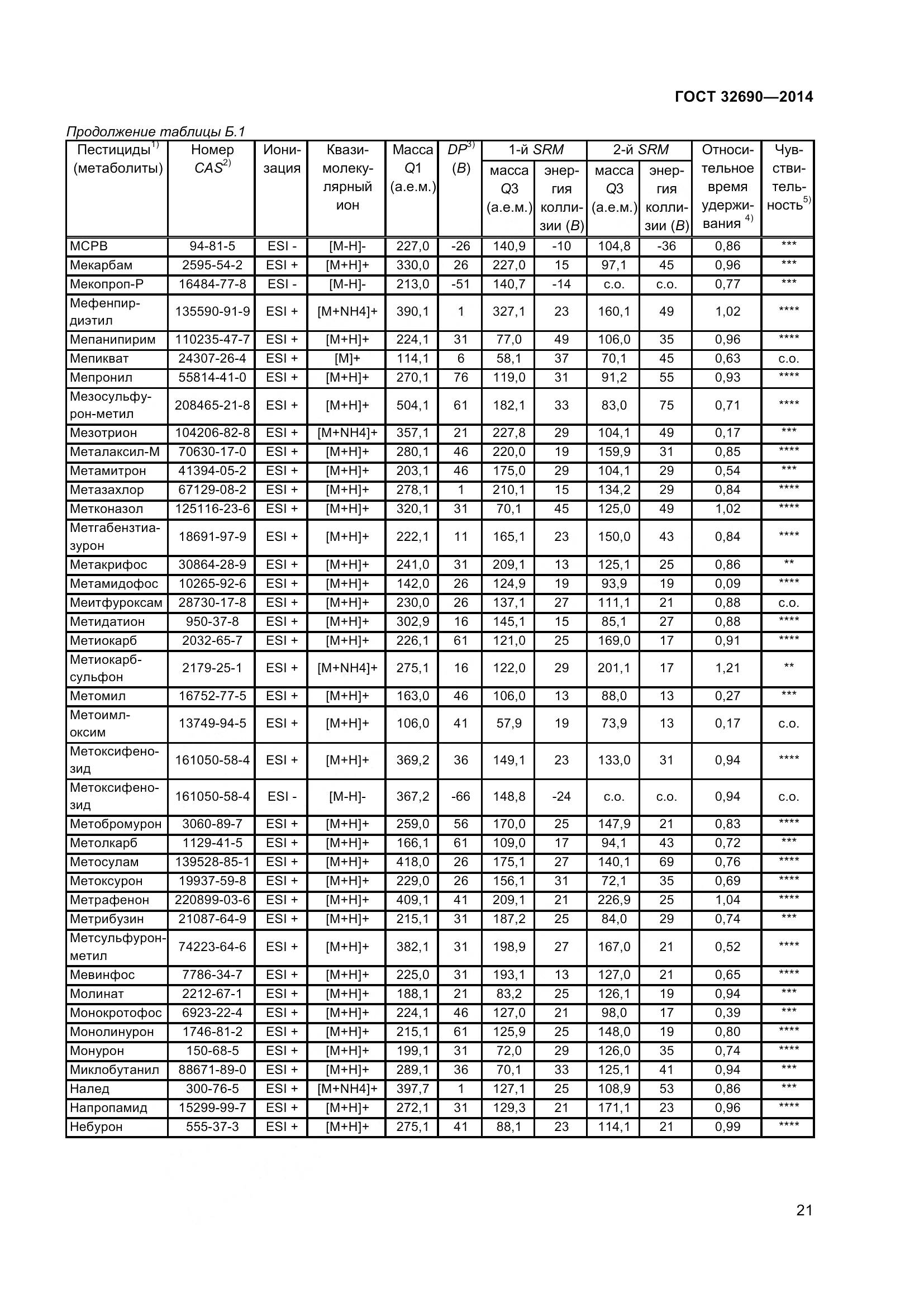
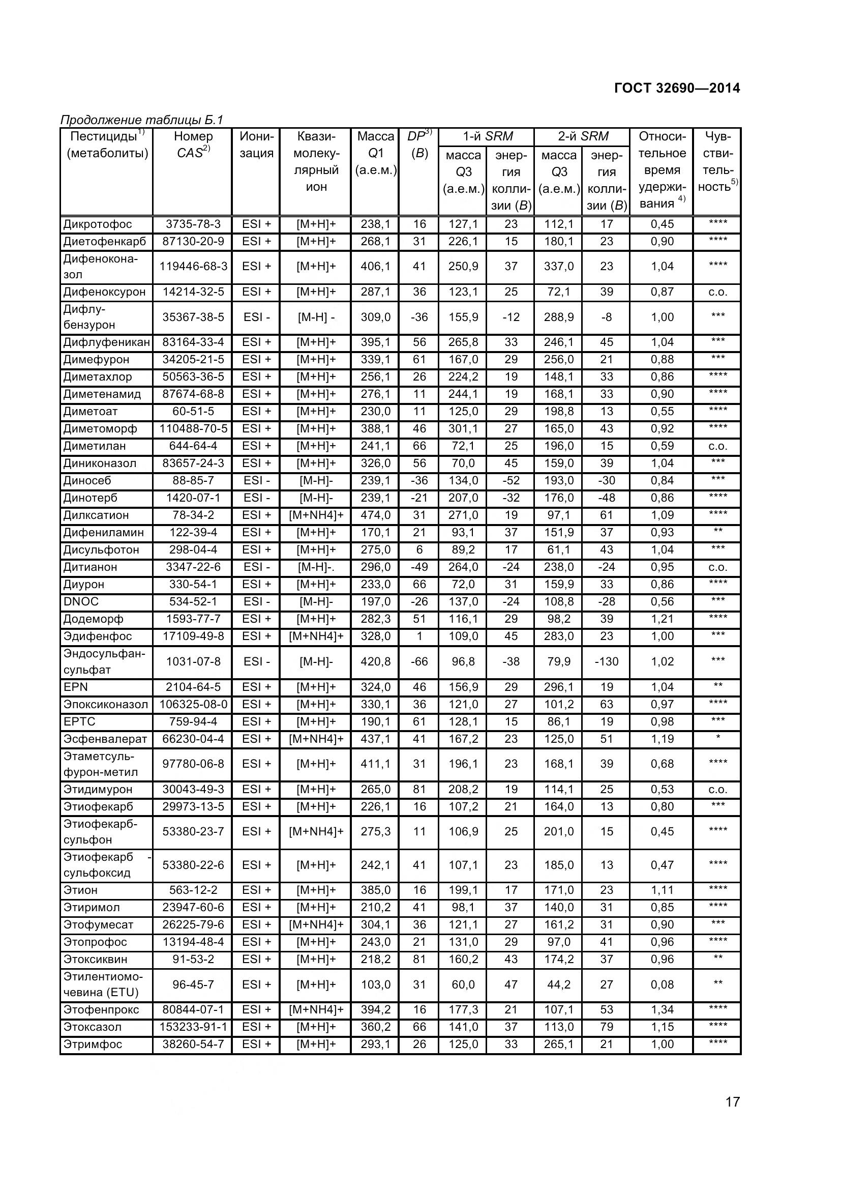
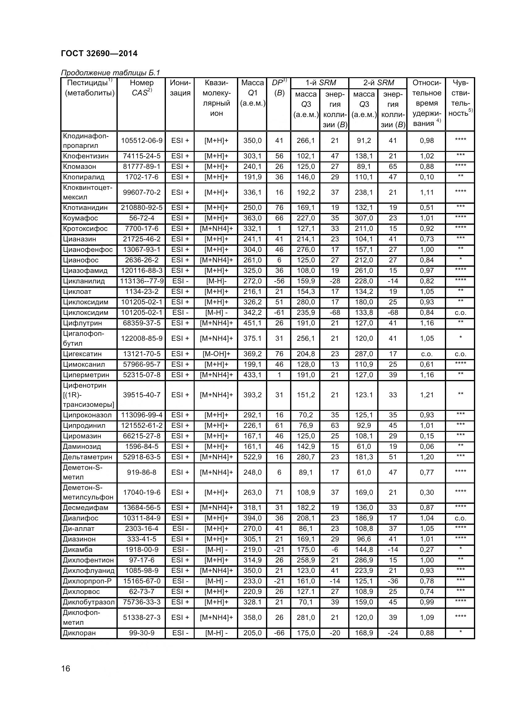
Настоящий стандарт распространяется на соки и другую соковую продукцию из фруктов и овощей и устанавливает метод определения остаточных количеств пестицидов с применением тандемной высокоэффективной жидкостной хроматомасс-спектрометрии в диапазоне измерений массовой концентрации от 0,0001 до 0,1000 мг/кг
Документ разработан орг-ей:
Федеральное агентство по техническому регулированию и метрологии (Росстандарт)
Документ принят орг-ей:
Межгосударственный Совет по стандартизации метрологии и сертификации, протокол №45-2014
Ключевые слова документа:
высокоэффективная жидкостная хроматография, методы испытаний, пестициды, соки, соковая продукция из фруктов и овощей, тандемная масс-спектрометрия

Скачать ГОСТ 32690-2014 вы можете в следующих версиях:

Тип файла:
Дата добавления:
Загрузок:
Размер:
Тип файла:
PDF с изображениями
Добавлен:
20/11/2025 16:11
Скачиваний:
27
Размер файла:
14.38 Мб
  • ГОСТ 32690-2014, страница 1 страница 1
  • ГОСТ 32690-2014, страница 2 страница 2
  • ГОСТ 32690-2014, страница 3 страница 3
  • ГОСТ 32690-2014, страница 4 страница 4
  • ГОСТ 32690-2014, страница 5 страница 5
  • ГОСТ 32690-2014, страница 6 страница 6
  • ГОСТ 32690-2014, страница 7 страница 7
  • ГОСТ 32690-2014, страница 8 страница 8
  • ГОСТ 32690-2014, страница 9 страница 9
  • ГОСТ 32690-2014, страница 10 страница 10
  • ГОСТ 32690-2014, страница 11 страница 11
  • ГОСТ 32690-2014, страница 12 страница 12
  • ГОСТ 32690-2014, страница 13 страница 13
  • ГОСТ 32690-2014, страница 14 страница 14
  • ГОСТ 32690-2014, страница 15 страница 15
  • ГОСТ 32690-2014, страница 16 страница 16
  • ГОСТ 32690-2014, страница 17 страница 17
  • ГОСТ 32690-2014, страница 18 страница 18
  • ГОСТ 32690-2014, страница 19 страница 19
  • ГОСТ 32690-2014, страница 20 страница 20
  • ГОСТ 32690-2014, страница 21 страница 21
  • ГОСТ 32690-2014, страница 22 страница 22
  • ГОСТ 32690-2014, страница 23 страница 23
  • ГОСТ 32690-2014, страница 24 страница 24
  • ГОСТ 32690-2014, страница 25 страница 25
  • ГОСТ 32690-2014, страница 26 страница 26
  • ГОСТ 32690-2014, страница 27 страница 27
  • ГОСТ 32690-2014, страница 28 страница 28
  • ГОСТ 32690-2014, страница 29 страница 29
  • ГОСТ 32690-2014, страница 30 страница 30
  • ГОСТ 32690-2014, страница 31 страница 31
  • ГОСТ 32690-2014, страница 32 страница 32
  • ГОСТ 32690-2014, страница 33 страница 33
  • ГОСТ 32690-2014, страница 34 страница 34
  • ГОСТ 32690-2014, страница 35 страница 35
  • ГОСТ 32690-2014, страница 36 страница 36
  • ГОСТ 32690-2014, страница 37 страница 37
  • ГОСТ 32690-2014, страница 38 страница 38
  • ГОСТ 32690-2014, страница 39 страница 39
  • ГОСТ 32690-2014, страница 40 страница 40
  • ГОСТ 32690-2014, страница 41 страница 41
  • ГОСТ 32690-2014, страница 42 страница 42